🇳🇴 🇬🇧 🇩🇪 🇨🇿 🇫🇮

Meteor, poloha: Ă…l 2017-11-15 04:45:09 UTC

Soubor KML  |  InteraktivnĂ­ mapa

Mapa zobrazuje dráhy meteoru. Světlejší čáry ukazují směry od pozorovacích stanic při objevení se meteoru a tmavší čáry, kde byl naposledy viděn. Modrá šipka značí viditelnou dráhu meteoru.

static map
height profile
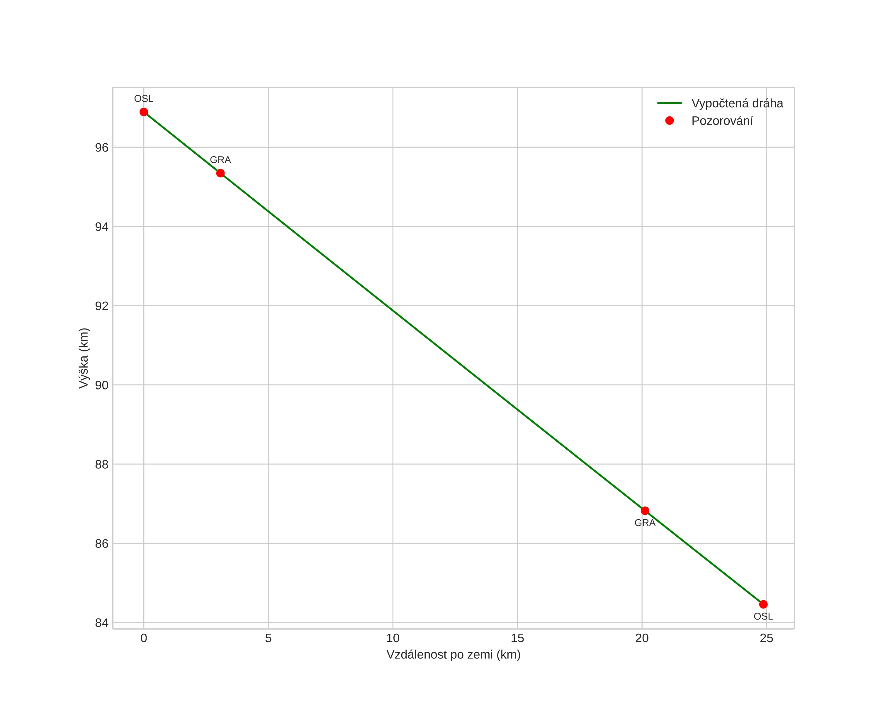
Atmosférická dráha meteoru:
Počáteční výška: 96,9 km
Konečná výška: 84,5 km
Počáteční poloha: 60,661N 8,263E
Konečná poloha: 60,529N 8,631E
Směr: 126,0°
Sklon: 26,5°
VstupnĂ­ rychlost: 18,2 km/s
Rektascenze radiantu: 01:22 (20,7°)
Deklinace radiantu: 32,7°
MeteorickĂ˝ roj: sporadickĂ˝
Elementy dráhy meteoroidu:
Vzdálenost v periheliu: 0,838 AU
Excentricita: 0,648
Sklon dráhy: 9,0°
Délka vzestupného uzlu: 232,8°
Argument perihelia: 232,4°
Střední anomálie: 350,4°
Epocha: 2017 NOV 15 04:45:09
orbit plot

NeinteraktivnĂ­ graf | InteraktivnĂ­ graf

position vs time
speed and acceleration