🇳🇴 🇬🇧 🇩🇪 🇨🇿 🇫🇮

Meteor, poloha: Judaberg 2017-11-17 01:32:37 UTC

Soubor KML  |  InteraktivnĂ­ mapa

Mapa zobrazuje dráhy meteoru. Světlejší čáry ukazují směry od pozorovacích stanic při objevení se meteoru a tmavší čáry, kde byl naposledy viděn. Modrá šipka značí viditelnou dráhu meteoru.

static map
height profile
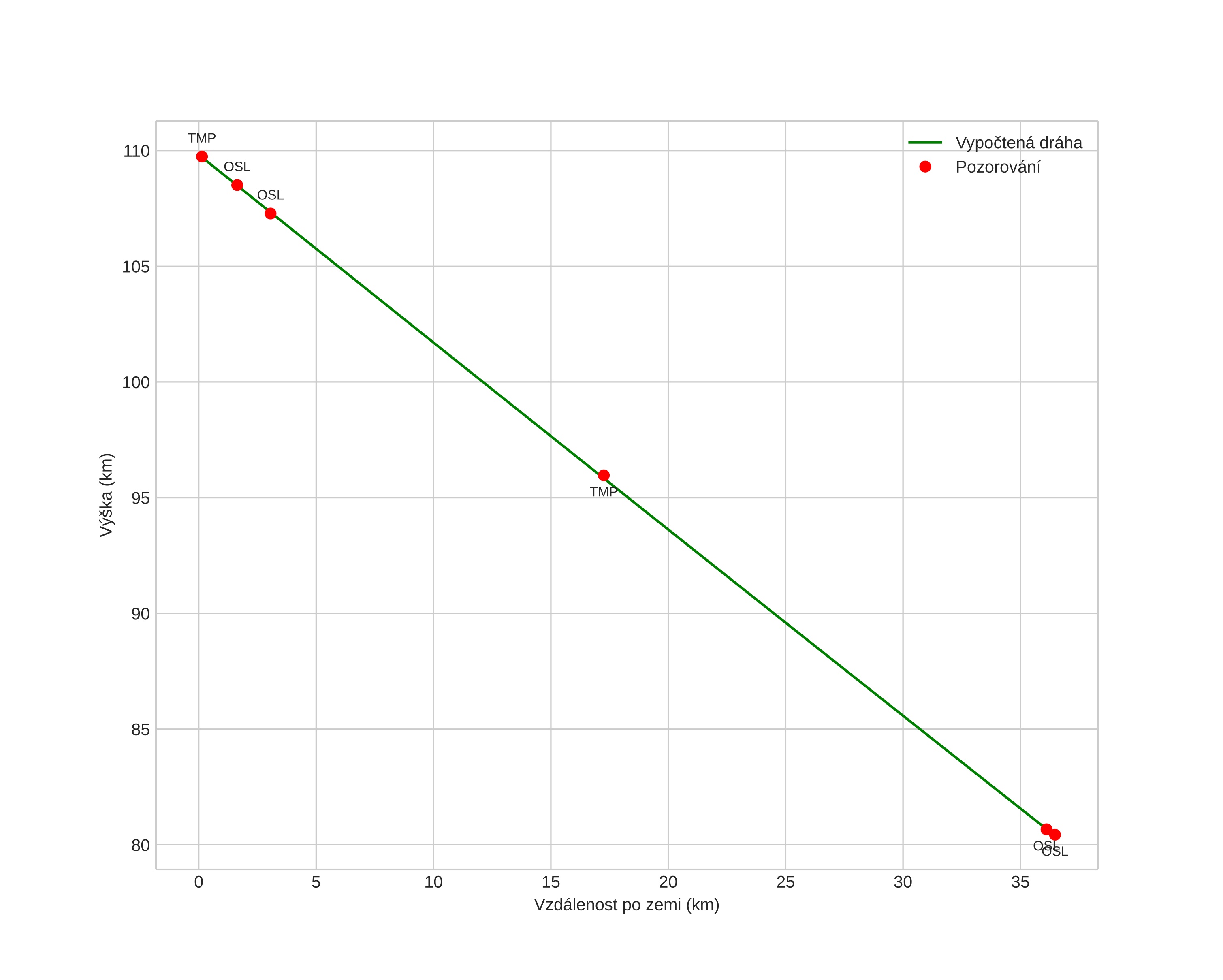
Atmosférická dráha meteoru:
Počáteční výška: 109,8 km
Konečná výška: 80,4 km
Počáteční poloha: 59,198N 6,522E
Konečná poloha: 59,271N 5,897E
Směr: 283,1°
Sklon: 38,9°
VstupnĂ­ rychlost: 64,7 km/s
Rektascenze radiantu: 09:35 (143,8°)
Deklinace radiantu: 26,4°
MeteorickĂ˝ roj: Leonidy
Elementy dráhy meteoroidu:
Vzdálenost v periheliu: 0,897 AU
Excentricita: 0,430
Sklon dráhy: 158,4°
Délka vzestupného uzlu: 234,7°
Argument perihelia: 226,3°
Střední anomálie: 342,2°
Epocha: 2017 NOV 17 01:32:37
orbit plot

NeinteraktivnĂ­ graf | InteraktivnĂ­ graf

position vs time
speed and acceleration