🇳🇴 🇬🇧 🇩🇪 🇨🇿 🇫🇮

Meteor, poloha: Egersund 2017-11-17 04:14:46 UTC

Soubor KML  |  InteraktivnĂ­ mapa

Mapa zobrazuje dráhy meteoru. Světlejší čáry ukazují směry od pozorovacích stanic při objevení se meteoru a tmavší čáry, kde byl naposledy viděn. Modrá šipka značí viditelnou dráhu meteoru.

static map
height profile
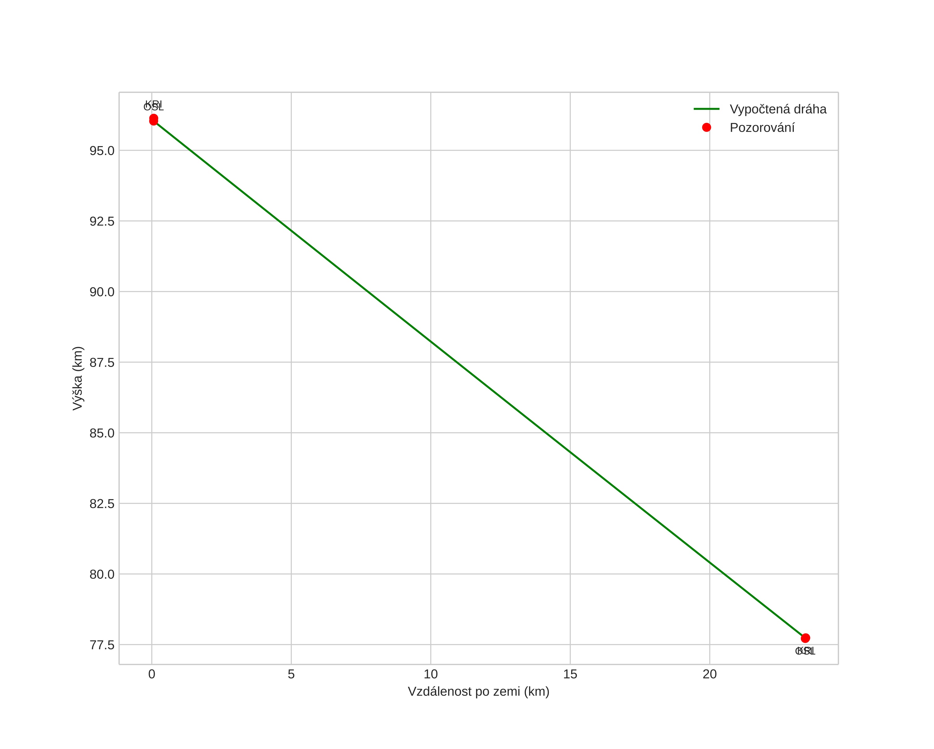
Atmosférická dráha meteoru:
Počáteční výška: 96,1 km
Konečná výška: 77,7 km
Počáteční poloha: 56,721N 5,023E
Konečná poloha: 56,818N 5,364E
Směr: 62,2°
Sklon: 38,1°
VstupnĂ­ rychlost: 33,0 km/s
Rektascenze radiantu: 05:06 (76,5°)
Deklinace radiantu: 16,7°
MeteorickĂ˝ roj: sporadickĂ˝
Elementy dráhy meteoroidu:
Vzdálenost v periheliu: 0,206 AU
Excentricita: 0,861
Sklon dráhy: 10,2°
Délka vzestupného uzlu: 54,8°
Argument perihelia: 135,3°
Střední anomálie: 338,2°
Epocha: 2017 NOV 17 04:14:46
orbit plot

NeinteraktivnĂ­ graf | InteraktivnĂ­ graf

position vs time
speed and acceleration