🇳🇴 🇬🇧 🇩🇪 🇨🇿 🇫🇮

Meteor Egersundin yllä 2017-11-20 00:45:48 UTC

KML-tiedosto  |  Interaktiivinen kartta

Kartta näyttää meteorin suuntahavainnot. Vaaleammat viivat näyttävät suunnat havaintoasemilta meteorin ilmestyessä, ja tummemmat viivat näyttävät, missä se viimeksi nähtiin. Sininen nuoli näyttää meteorin näkyvän lennon.

static map
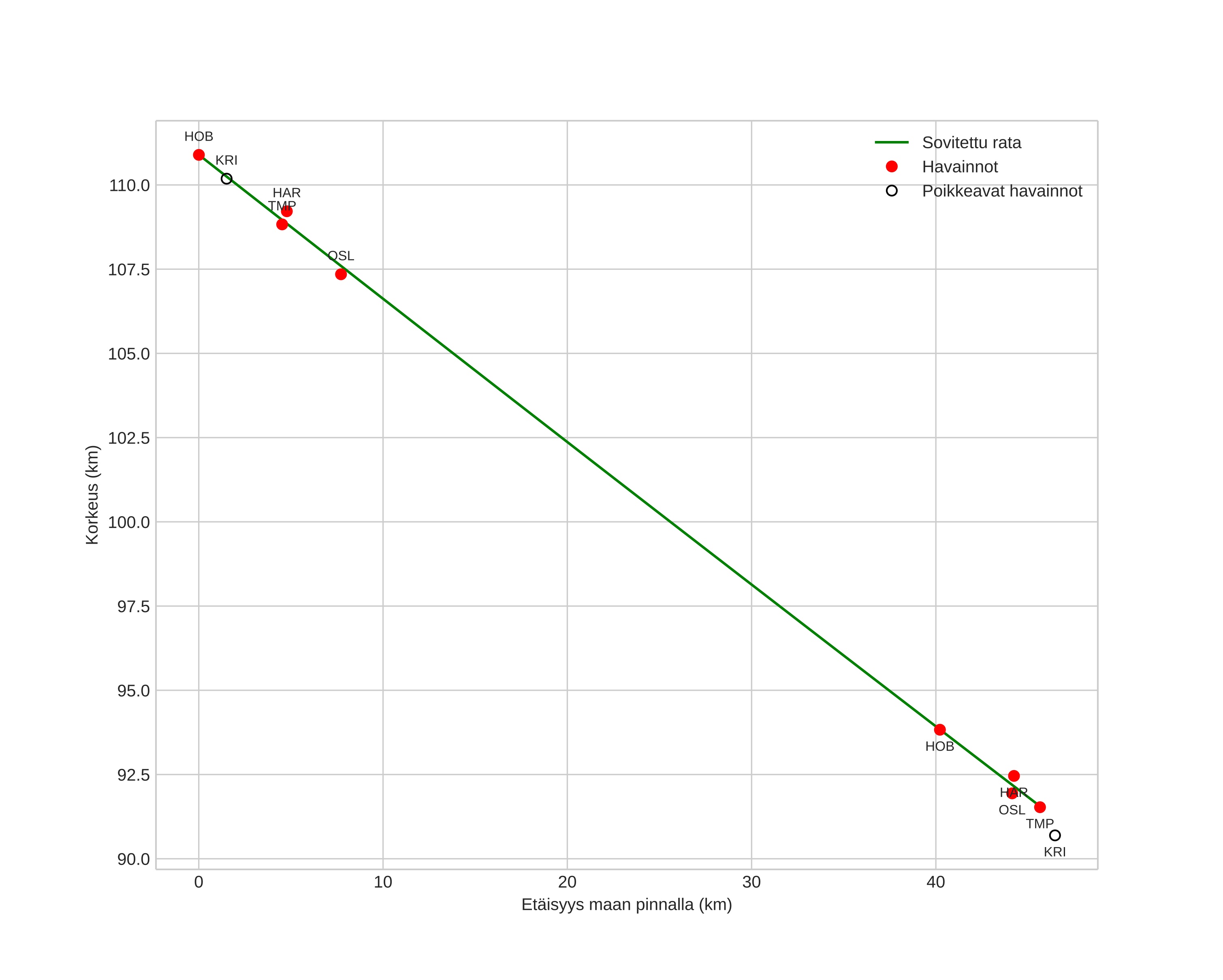
height profile
Meteorin ilmakehärata:
Alkukorkeus: 110,9 km
Loppukorkeus: 91,6 km
Alkupiste: 57,567N 6,357E
Loppupiste: 57,550N 5,592E
Suunta: 268,0°
Kallistuskulma: 22,9°
Tulonopeus: 74,9 km/s
Radiantin R,A,: 10:22 (155,7°)
Radiantin Dekl,: 20,0°
Meteoriparvi: Leonidit
Meteoroidin rataelementit:
Perihelietäisyys: 0,984 AU
Eksentrisyys: 1,191
Inklinaatio: 164,5°
Nousevan solmun pituus: 237,7°
Perihelin argumentti: 173,1°
Keskianomalia: 0,4°
Epookki: 2017 NOV 20 00:45:48
orbit plot

Ei-interaktiivinen kuvaaja | Interaktiivinen kuvaaja

position vs time
speed and acceleration