🇳🇴 🇬🇧 🇩🇪 🇨🇿 🇫🇮

Meteor, poloha: Noresund 2017-11-20 02:16:28 UTC

Soubor KML  |  InteraktivnĂ­ mapa

Mapa zobrazuje dráhy meteoru. Světlejší čáry ukazují směry od pozorovacích stanic při objevení se meteoru a tmavší čáry, kde byl naposledy viděn. Modrá šipka značí viditelnou dráhu meteoru.

static map
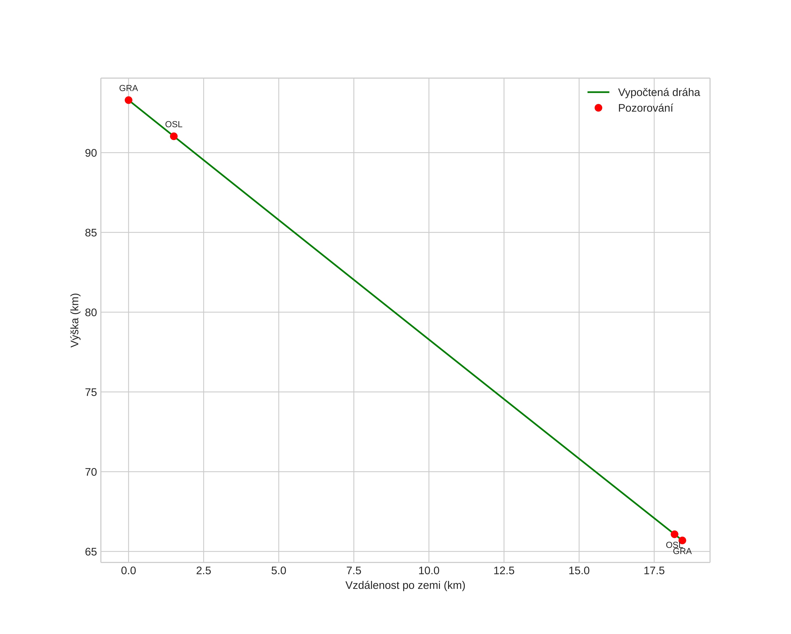
height profile
Atmosférická dráha meteoru:
Počáteční výška: 93,3 km
Konečná výška: 65,7 km
Počáteční poloha: 60,033N 9,402E
Konečná poloha: 60,139N 9,657E
Směr: 50,1°
Sklon: 56,3°
VstupnĂ­ rychlost: 33,9 km/s
Rektascenze radiantu: 04:44 (71,1°)
Deklinace radiantu: 31,7°
MeteorickĂ˝ roj: SevernĂ­ Tauridy
Elementy dráhy meteoroidu:
Vzdálenost v periheliu: 0,282 AU
Excentricita: 0,885
Sklon dráhy: 13,7°
Délka vzestupného uzlu: 237,7°
Argument perihelia: 301,5°
Střední anomálie: 349,9°
Epocha: 2017 NOV 20 02:16:28
orbit plot

NeinteraktivnĂ­ graf | InteraktivnĂ­ graf

position vs time
speed and acceleration