🇳🇴 🇬🇧 🇩🇪 🇨🇿 🇫🇮

Meteor, poloha: Vestbygd 2017-11-20 02:50:34 UTC

Soubor KML  |  InteraktivnĂ­ mapa

Mapa zobrazuje dráhy meteoru. Světlejší čáry ukazují směry od pozorovacích stanic při objevení se meteoru a tmavší čáry, kde byl naposledy viděn. Modrá šipka značí viditelnou dráhu meteoru.

static map
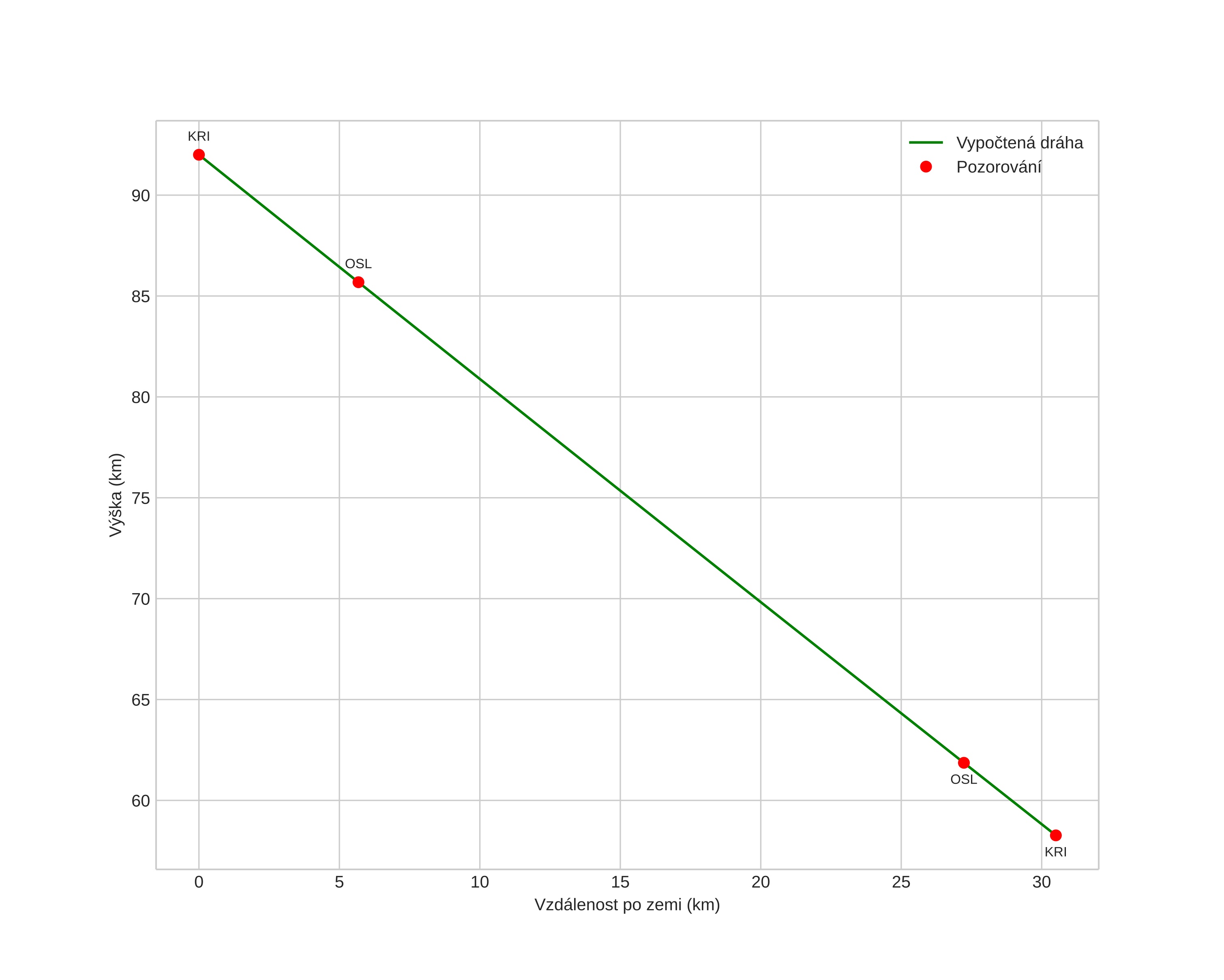
height profile
Atmosférická dráha meteoru:
Počáteční výška: 92,0 km
Konečná výška: 58,3 km
Počáteční poloha: 56,654N 6,124E
Konečná poloha: 56,788N 6,560E
Směr: 60,7°
Sklon: 47,8°
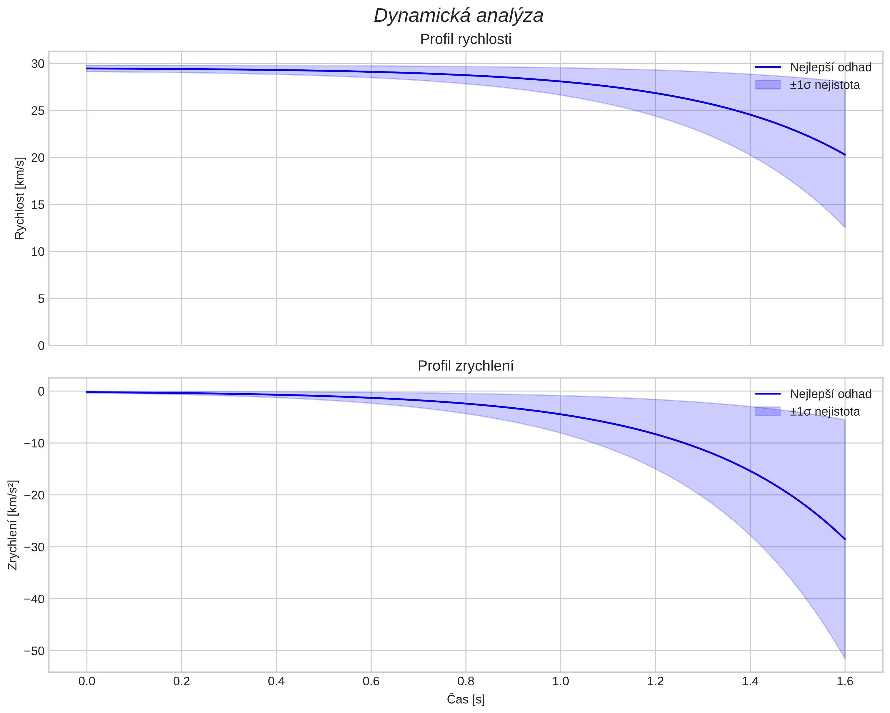
VstupnĂ­ rychlost: 29,5 km/s
Rektascenze radiantu: 04:23 (65,8°)
Deklinace radiantu: 24,3°
MeteorickĂ˝ roj: SevernĂ­ Tauridy
Elementy dráhy meteoroidu:
Vzdálenost v periheliu: 0,386 AU
Excentricita: 0,822
Sklon dráhy: 2,9°
Délka vzestupného uzlu: 237,7°
Argument perihelia: 290,6°
Střední anomálie: 346,8°
Epocha: 2017 NOV 20 02:50:34
orbit plot

NeinteraktivnĂ­ graf | InteraktivnĂ­ graf

position vs time
speed and acceleration