🇳🇴 🇬🇧 🇩🇪 🇨🇿 🇫🇮

Meteor, poloha: Stranda 2017-11-23 21:01:20 UTC

Soubor KML  |  InteraktivnĂ­ mapa

Mapa zobrazuje dráhy meteoru. Světlejší čáry ukazují směry od pozorovacích stanic při objevení se meteoru a tmavší čáry, kde byl naposledy viděn. Modrá šipka značí viditelnou dráhu meteoru.

static map
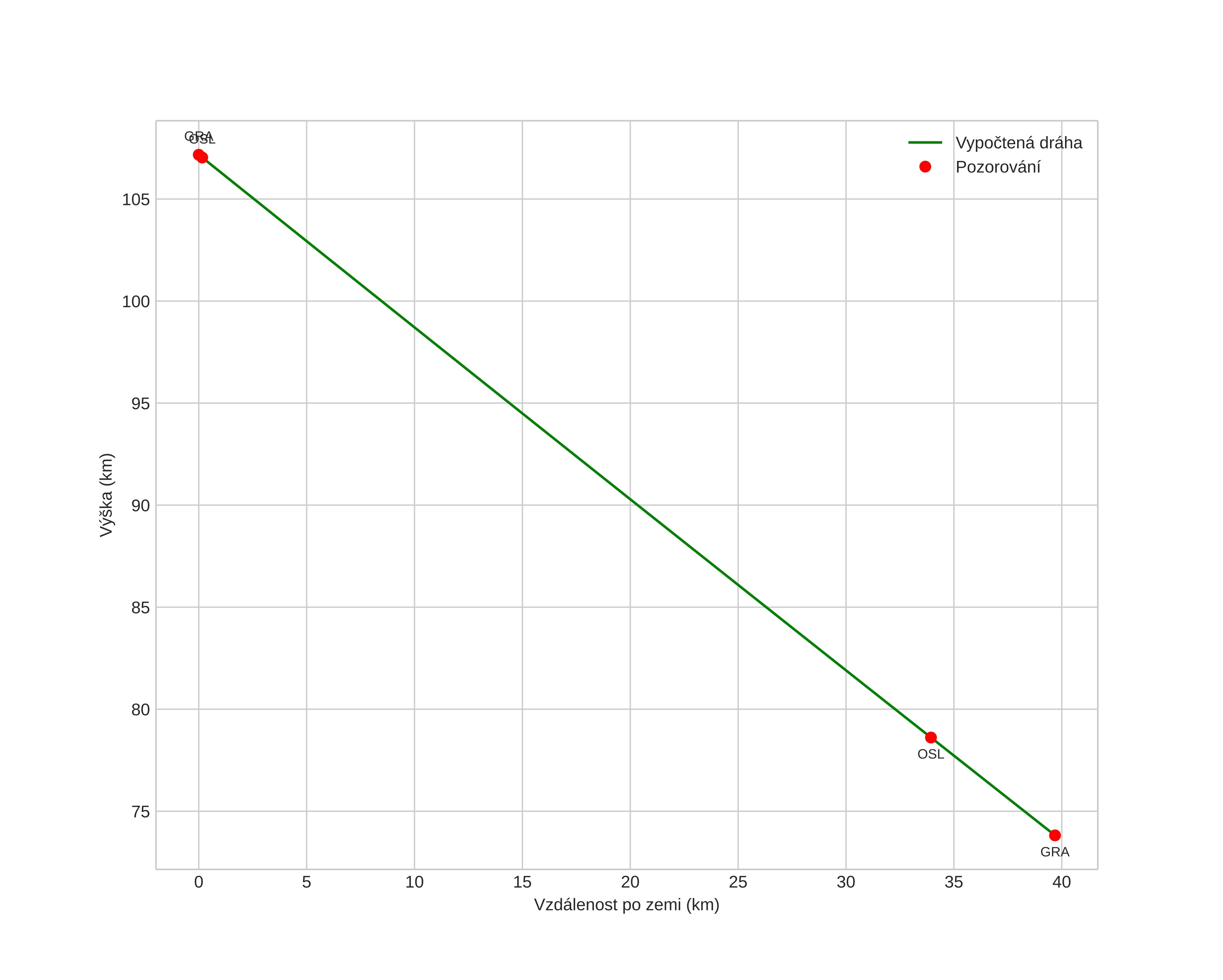
height profile
Atmosférická dráha meteoru:
Počáteční výška: 107,2 km
Konečná výška: 73,8 km
Počáteční poloha: 62,280N 7,492E
Konečná poloha: 61,976N 7,093E
Směr: 211,7°
Sklon: 40,1°
VstupnĂ­ rychlost: 61,2 km/s
Rektascenze radiantu: 10:02 (150,6°)
Deklinace radiantu: 60,7°
MeteorickĂ˝ roj: sporadickĂ˝
Elementy dráhy meteoroidu:
Vzdálenost v periheliu: 0,860 AU
Excentricita: 1,384
Sklon dráhy: 101,6°
Délka vzestupného uzlu: 241,5°
Argument perihelia: 219,0°
Střední anomálie: -6,6°
Epocha: 2017 NOV 23 21:01:20
orbit plot

NeinteraktivnĂ­ graf | InteraktivnĂ­ graf

position vs time
speed and acceleration