🇳🇴 🇬🇧 🇩🇪 🇨🇿 🇫🇮

Meteor, poloha: Vestbygd 2017-11-26 22:34:01 UTC

Soubor KML  |  InteraktivnĂ­ mapa

Mapa zobrazuje dráhy meteoru. Světlejší čáry ukazují směry od pozorovacích stanic při objevení se meteoru a tmavší čáry, kde byl naposledy viděn. Modrá šipka značí viditelnou dráhu meteoru.

static map
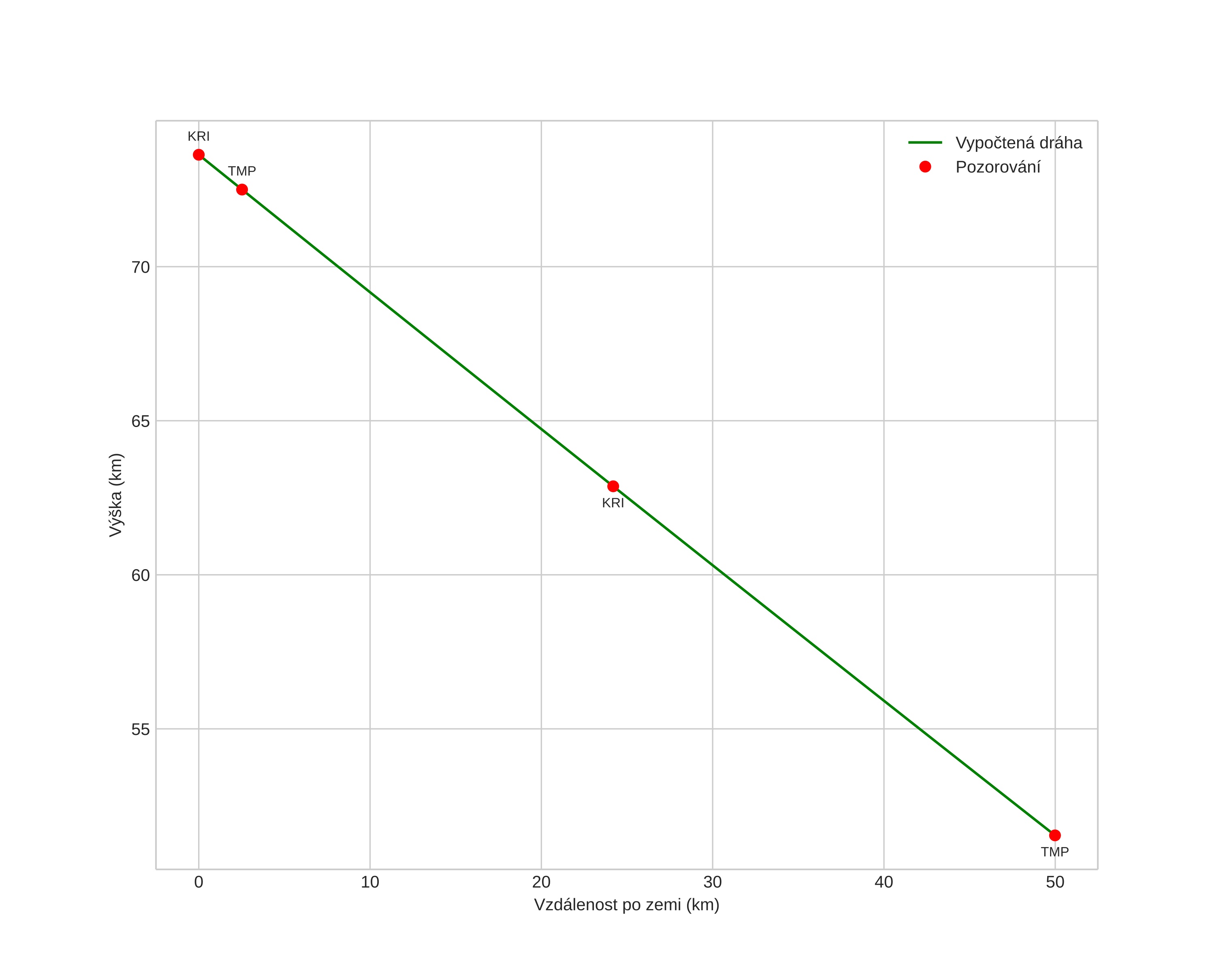
height profile
Atmosférická dráha meteoru:
Počáteční výška: 73,6 km
Konečná výška: 51,5 km
Počáteční poloha: 56,607N 5,764E
Konečná poloha: 56,165N 5,917E
Směr: 169,1°
Sklon: 23,9°
VstupnĂ­ rychlost: 23,9 km/s
Rektascenze radiantu: 16:31 (248,0°)
Deklinace radiantu: 51,7°
MeteorickĂ˝ roj: sporadickĂ˝
Elementy dráhy meteoroidu:
Vzdálenost v periheliu: 0,933 AU
Excentricita: 0,376
Sklon dráhy: 36,0°
Délka vzestupného uzlu: 244,6°
Argument perihelia: 143,4°
Střední anomálie: 16,0°
Epocha: 2017 NOV 26 22:34:01
orbit plot

NeinteraktivnĂ­ graf | InteraktivnĂ­ graf

position vs time
speed and acceleration