🇳🇴 🇬🇧 🇩🇪 🇨🇿 🇫🇮

Meteor, poloha: Mandal 2017-12-04 02:20:15 UTC

Soubor KML  |  InteraktivnĂ­ mapa

Mapa zobrazuje dráhy meteoru. Světlejší čáry ukazují směry od pozorovacích stanic při objevení se meteoru a tmavší čáry, kde byl naposledy viděn. Modrá šipka značí viditelnou dráhu meteoru.

static map
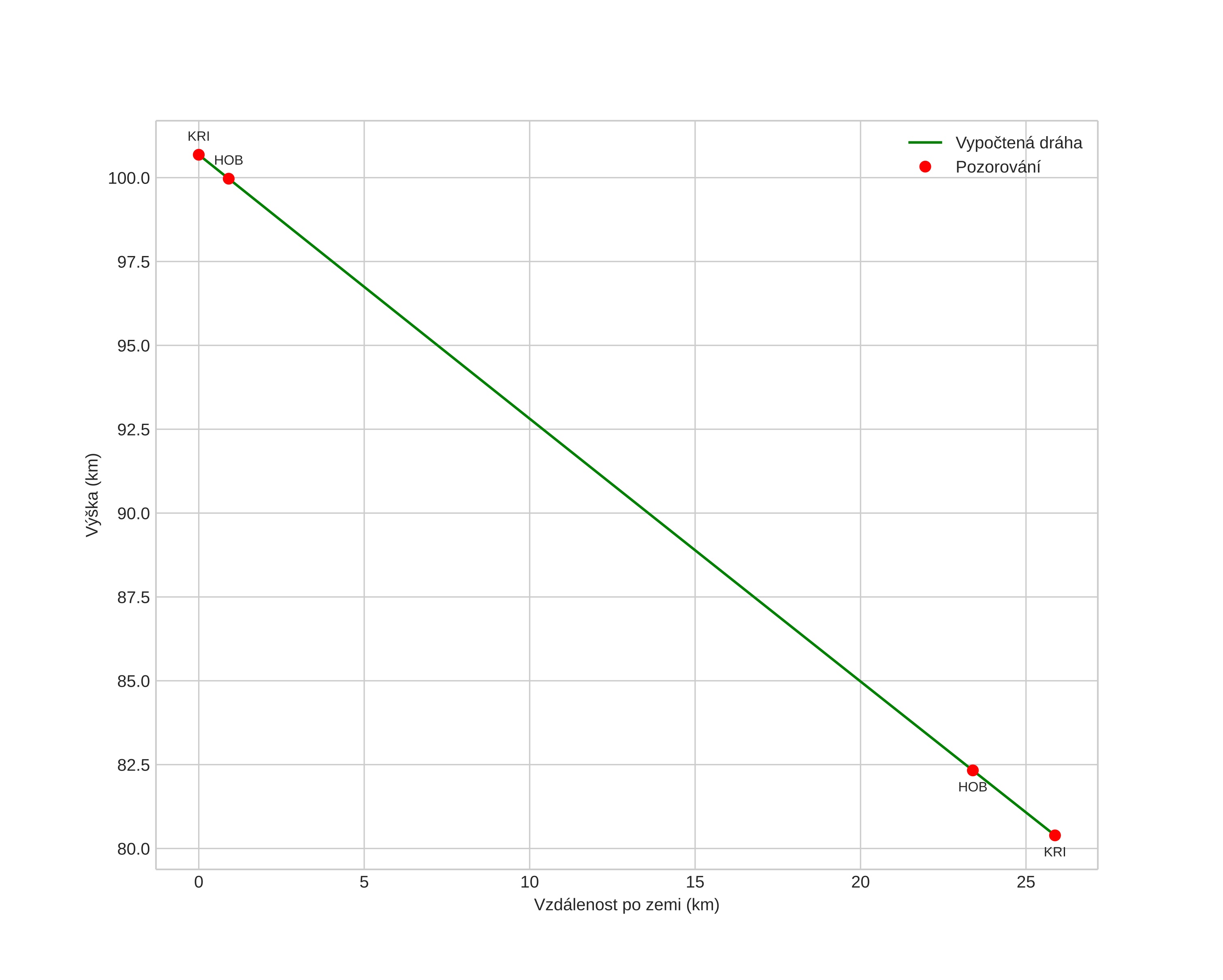
height profile
Atmosférická dráha meteoru:
Počáteční výška: 100,7 km
Konečná výška: 80,4 km
Počáteční poloha: 57,033N 7,473E
Konečná poloha: 57,260N 7,381E
Směr: 347,7°
Sklon: 38,1°
VstupnĂ­ rychlost: 54,5 km/s
Rektascenze radiantu: 08:19 (124,8°)
Deklinace radiantu: 5,1°
MeteorickĂ˝ roj: Sigma Hydridy
Elementy dráhy meteoroidu:
Vzdálenost v periheliu: 0,177 AU
Excentricita: 0,889
Sklon dráhy: 132,0°
Délka vzestupného uzlu: 71,9°
Argument perihelia: 138,1°
Střední anomálie: 341,5°
Epocha: 2017 DEC 04 02:20:15
orbit plot

NeinteraktivnĂ­ graf | InteraktivnĂ­ graf

position vs time
speed and acceleration