🇳🇴 🇬🇧 🇩🇪 🇨🇿 🇫🇮

Meteor, poloha: Vestbygd 2017-12-04 05:51:22 UTC

Soubor KML  |  InteraktivnĂ­ mapa

Mapa zobrazuje dráhy meteoru. Světlejší čáry ukazují směry od pozorovacích stanic při objevení se meteoru a tmavší čáry, kde byl naposledy viděn. Modrá šipka značí viditelnou dráhu meteoru.

static map
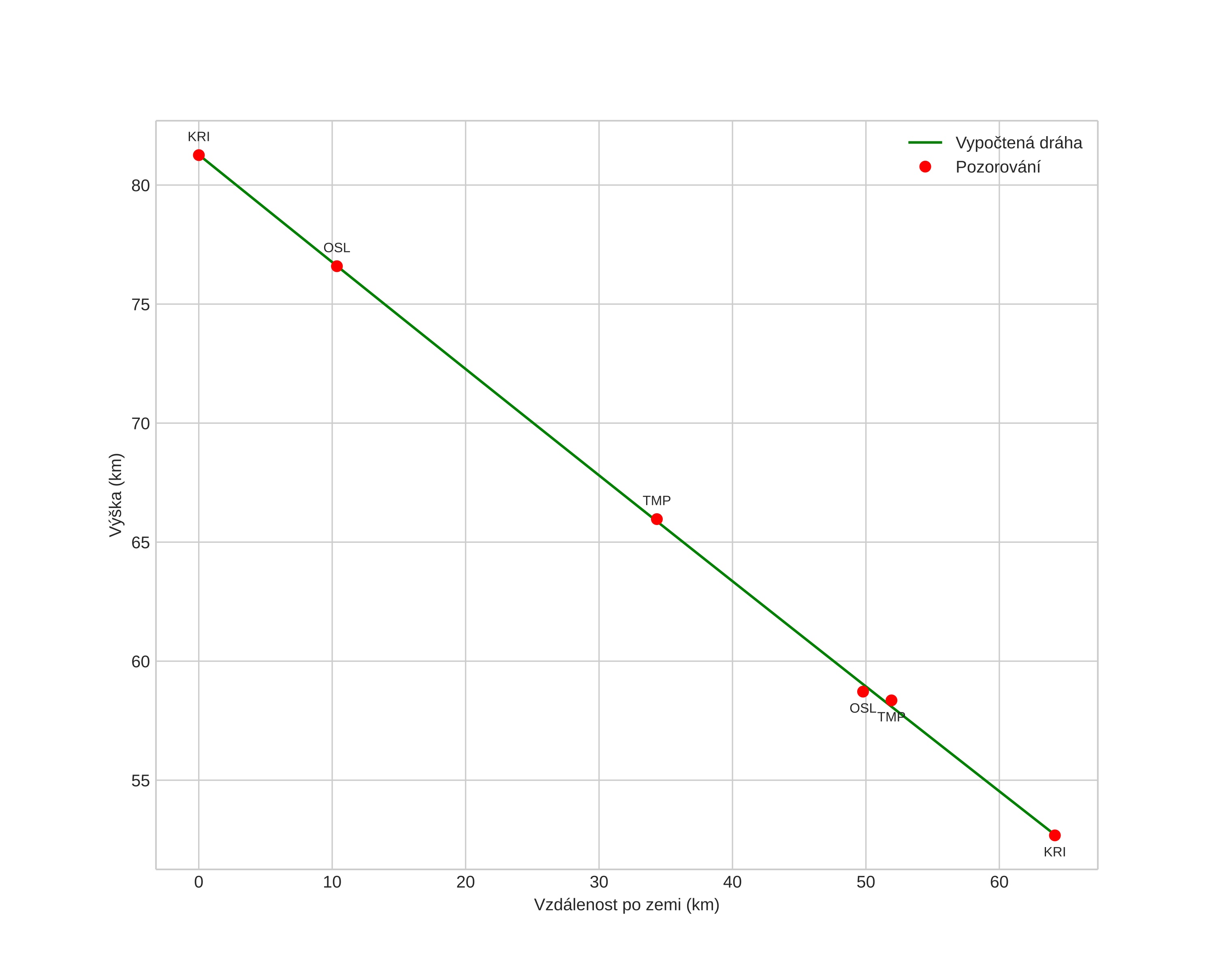
height profile
Atmosférická dráha meteoru:
Počáteční výška: 81,3 km
Konečná výška: 52,7 km
Počáteční poloha: 56,768N 4,756E
Konečná poloha: 56,722N 5,805E
Směr: 94,2°
Sklon: 24,0°
VstupnĂ­ rychlost: 32,1 km/s
Rektascenze radiantu: 05:37 (84,4°)
Deklinace radiantu: 20,0°
MeteorickĂ˝ roj: SevernĂ­ Tauridy
Elementy dráhy meteoroidu:
Vzdálenost v periheliu: 0,325 AU
Excentricita: 0,871
Sklon dráhy: 4,3°
Délka vzestupného uzlu: 72,1°
Argument perihelia: 116,0°
Střední anomálie: 350,0°
Epocha: 2017 DEC 04 05:51:22
orbit plot

NeinteraktivnĂ­ graf | InteraktivnĂ­ graf

position vs time
speed and acceleration