🇳🇴 🇬🇧 🇩🇪 🇨🇿 🇫🇮

Meteor, poloha: Sørumsand 2017-12-09 21:09:08 UTC

Soubor KML  |  InteraktivnĂ­ mapa

Mapa zobrazuje dráhy meteoru. Světlejší čáry ukazují směry od pozorovacích stanic při objevení se meteoru a tmavší čáry, kde byl naposledy viděn. Modrá šipka značí viditelnou dráhu meteoru.

static map
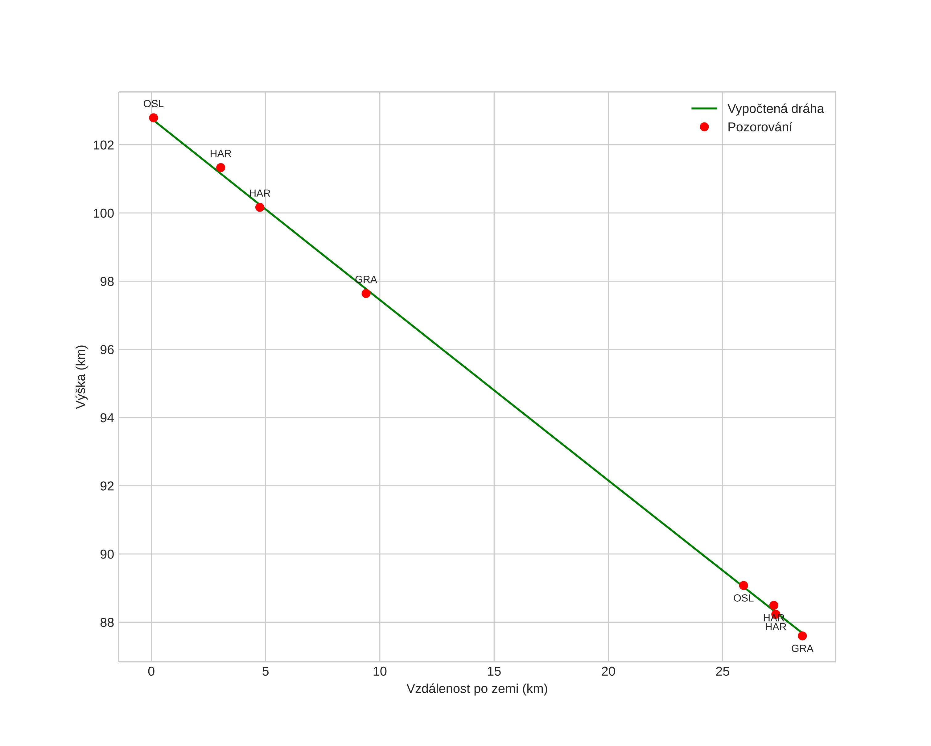
height profile
Atmosférická dráha meteoru:
Počáteční výška: 102,8 km
Konečná výška: 87,7 km
Počáteční poloha: 59,821N 11,715E
Konečná poloha: 59,945N 11,267E
Směr: 299,1°
Sklon: 27,9°
VstupnĂ­ rychlost: 47,2 km/s
Rektascenze radiantu: 06:38 (99,6°)
Deklinace radiantu: 10,0°
MeteorickĂ˝ roj: Monocerotidy
Elementy dráhy meteoroidu:
Vzdálenost v periheliu: 0,157 AU
Excentricita: 1,037
Sklon dráhy: 37,2°
Délka vzestupného uzlu: 77,7°
Argument perihelia: 130,6°
Střední anomálie: -3,5°
Epocha: 2017 DEC 09 21:09:08
orbit plot

NeinteraktivnĂ­ graf | InteraktivnĂ­ graf

position vs time
speed and acceleration