🇳🇴 🇬🇧 🇩🇪 🇨🇿 🇫🇮

Meteor, poloha: Lampeland 2017-12-09 23:40:09 UTC

Soubor KML  |  InteraktivnĂ­ mapa

Mapa zobrazuje dráhy meteoru. Světlejší čáry ukazují směry od pozorovacích stanic při objevení se meteoru a tmavší čáry, kde byl naposledy viděn. Modrá šipka značí viditelnou dráhu meteoru.

static map
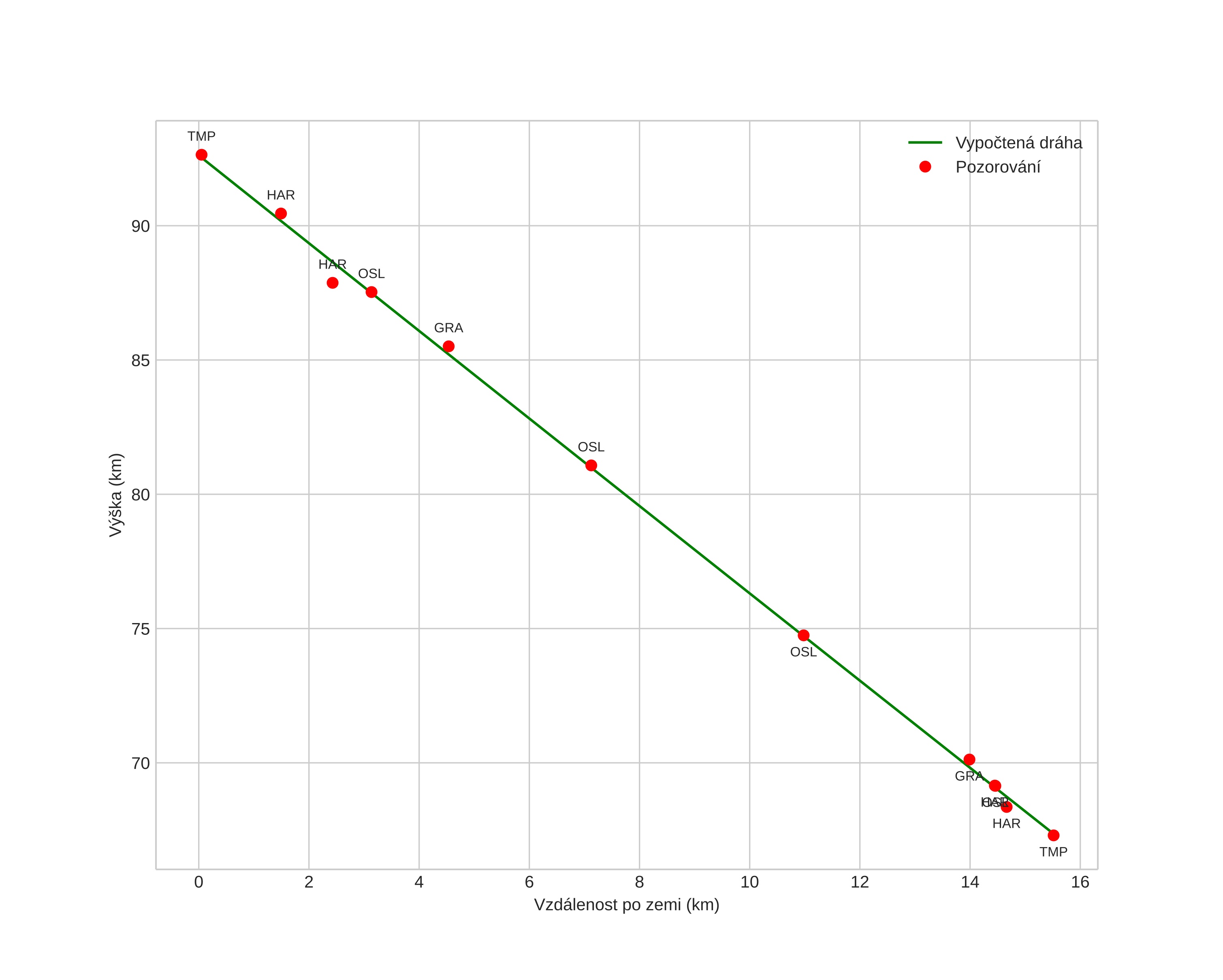
height profile
Atmosférická dráha meteoru:
Počáteční výška: 92,6 km
Konečná výška: 67,3 km
Počáteční poloha: 59,763N 9,793E
Konečná poloha: 59,860N 9,593E
Směr: 314,1°
Sklon: 58,4°
VstupnĂ­ rychlost: 34,6 km/s
Rektascenze radiantu: 07:20 (110,1°)
Deklinace radiantu: 32,8°
MeteorickĂ˝ roj: Geminidy
Elementy dráhy meteoroidu:
Vzdálenost v periheliu: 0,144 AU
Excentricita: 0,877
Sklon dráhy: 22,4°
Délka vzestupného uzlu: 257,8°
Argument perihelia: 325,9°
Střední anomálie: 329,8°
Epocha: 2017 DEC 09 23:40:09
orbit plot

NeinteraktivnĂ­ graf | InteraktivnĂ­ graf

position vs time
speed and acceleration