🇳🇴 🇬🇧 🇩🇪 🇨🇿 🇫🇮

Meteor, poloha: Otta 2017-12-10 04:49:23 UTC

Soubor KML  |  InteraktivnĂ­ mapa

Mapa zobrazuje dráhy meteoru. Světlejší čáry ukazují směry od pozorovacích stanic při objevení se meteoru a tmavší čáry, kde byl naposledy viděn. Modrá šipka značí viditelnou dráhu meteoru.

static map
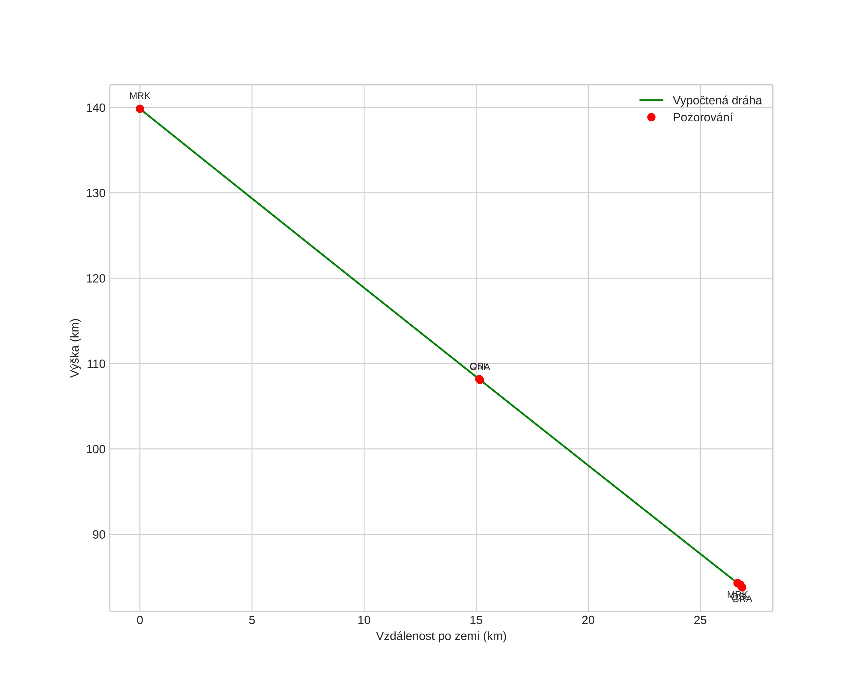
height profile
Atmosférická dráha meteoru:
Počáteční výška: 139,8 km
Konečná výška: 83,8 km
Počáteční poloha: 61,230N 9,242E
Konečná poloha: 61,462N 9,382E
Směr: 16,0°
Sklon: 64,3°
VstupnĂ­ rychlost: 67,1 km/s
Rektascenze radiantu: 10:06 (151,6°)
Deklinace radiantu: 35,9°
MeteorickĂ˝ roj: desember-leonis-minoridene
Elementy dráhy meteoroidu:
Vzdálenost v periheliu: 0,619 AU
Excentricita: 1,162
Sklon dráhy: 133,2°
Délka vzestupného uzlu: 258,1°
Argument perihelia: 252,0°
Střední anomálie: -4,5°
Epocha: 2017 DEC 10 04:49:23
orbit plot

NeinteraktivnĂ­ graf | InteraktivnĂ­ graf

position vs time
speed and acceleration