🇳🇴 🇬🇧 🇩🇪 🇨🇿 🇫🇮

Meteor, poloha: Harstad 2017-12-12 02:16:33 UTC

Soubor KML  |  InteraktivnĂ­ mapa

Mapa zobrazuje dráhy meteoru. Světlejší čáry ukazují směry od pozorovacích stanic při objevení se meteoru a tmavší čáry, kde byl naposledy viděn. Modrá šipka značí viditelnou dráhu meteoru.

static map
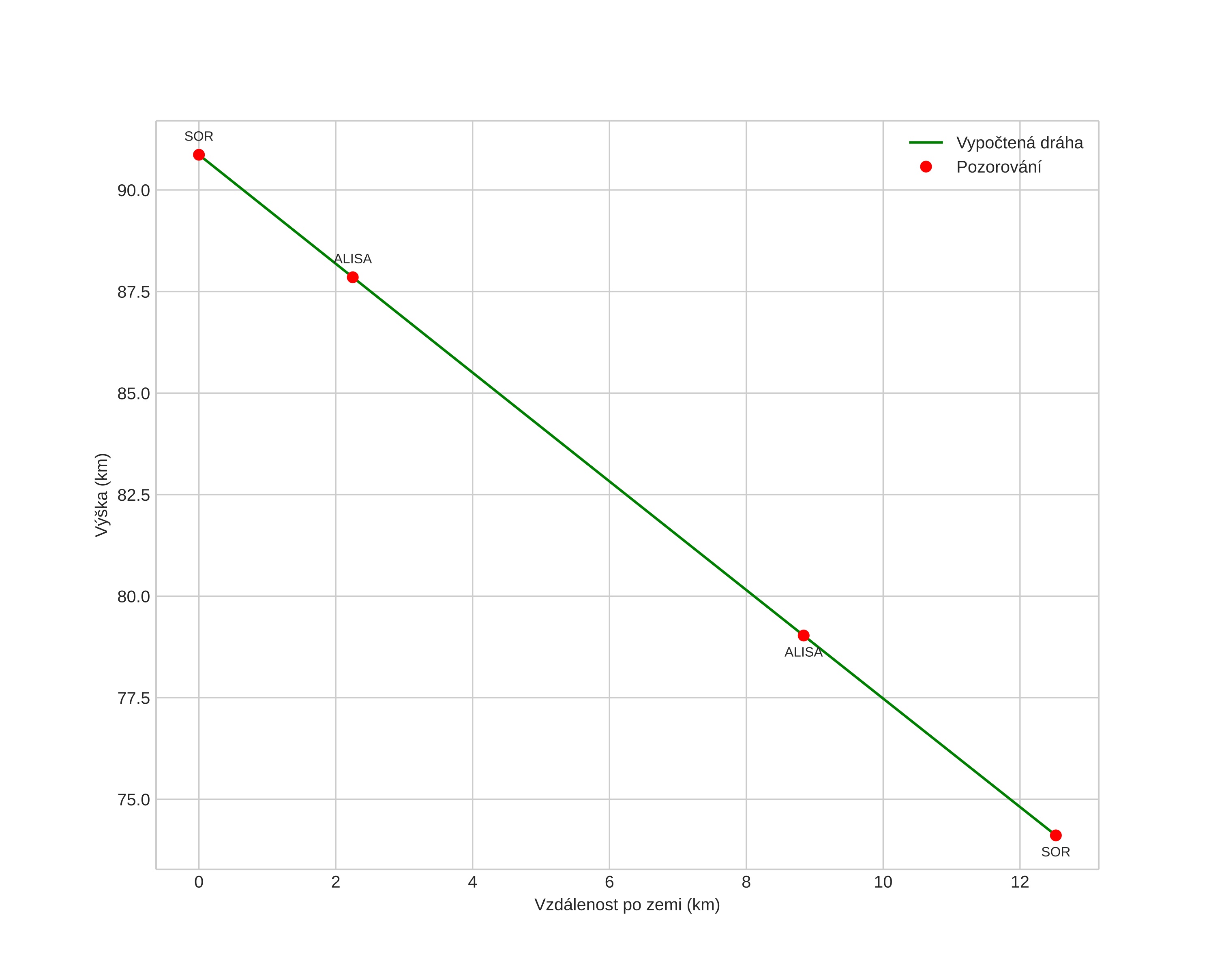
height profile
Atmosférická dráha meteoru:
Počáteční výška: 90,9 km
Konečná výška: 74,1 km
Počáteční poloha: 68,648N 16,648E
Konečná poloha: 68,744N 16,808E
Směr: 30,9°
Sklon: 53,3°
VstupnĂ­ rychlost: 43,4 km/s
Rektascenze radiantu: 07:17 (109,3°)
Deklinace radiantu: 33,3°
MeteorickĂ˝ roj: sporadickĂ˝
Elementy dráhy meteoroidu:
Vzdálenost v periheliu: 0,115 AU
Excentricita: 0,972
Sklon dráhy: 33,8°
Délka vzestupného uzlu: 260,0°
Argument perihelia: 322,4°
Střední anomálie: 356,2°
Epocha: 2017 DEC 12 02:16:33
orbit plot

NeinteraktivnĂ­ graf | InteraktivnĂ­ graf

position vs time
speed and acceleration