🇳🇴 🇬🇧 🇩🇪 🇨🇿 🇫🇮

Meteor, poloha: Seljord 2017-12-12 16:02:24 UTC

Soubor KML  |  InteraktivnĂ­ mapa

Mapa zobrazuje dráhy meteoru. Světlejší čáry ukazují směry od pozorovacích stanic při objevení se meteoru a tmavší čáry, kde byl naposledy viděn. Modrá šipka značí viditelnou dráhu meteoru.

static map
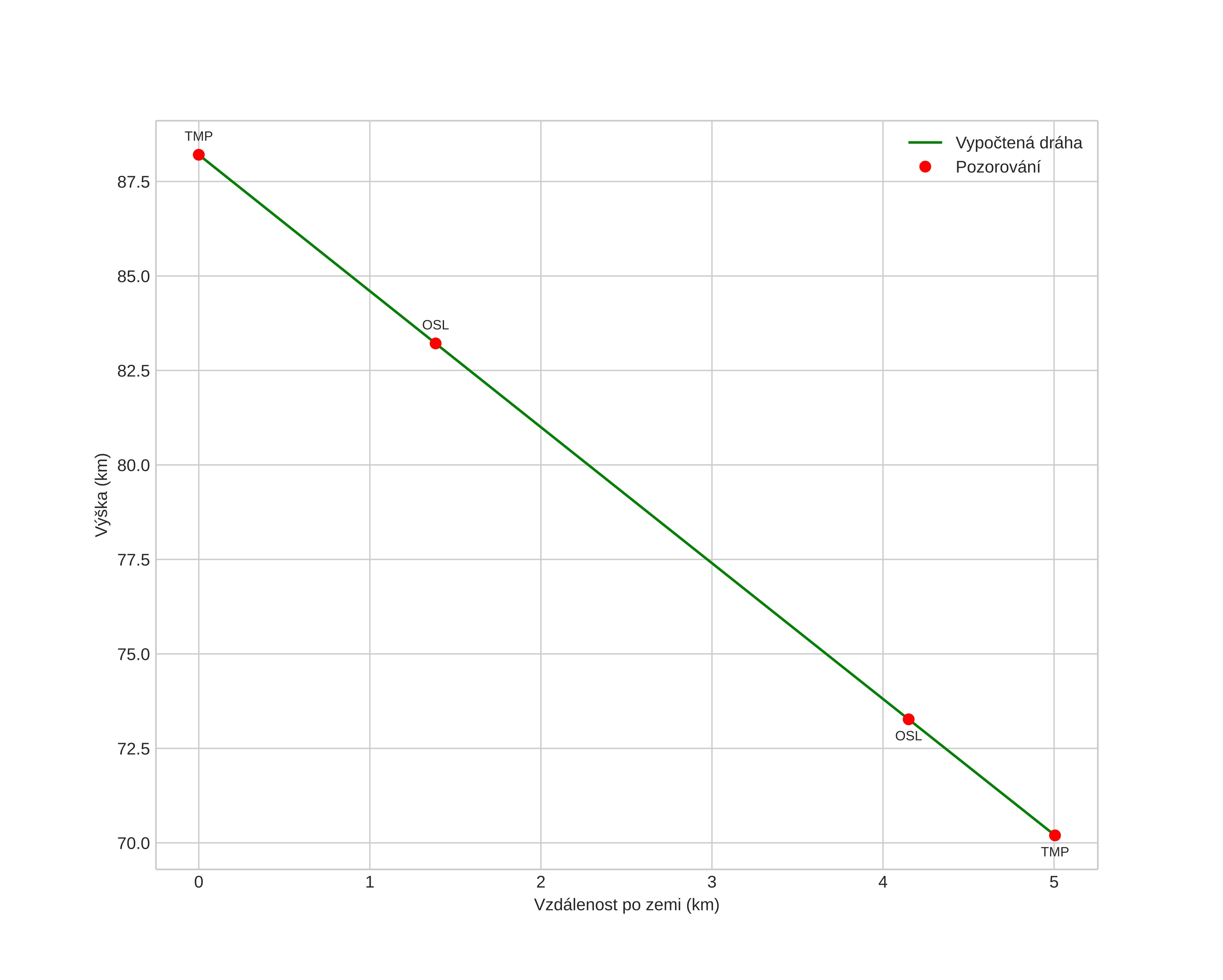
height profile
Atmosférická dráha meteoru:
Počáteční výška: 88,2 km
Konečná výška: 70,2 km
Počáteční poloha: 59,596N 8,594E
Konečná poloha: 59,567N 8,525E
Směr: 230,4°
Sklon: 74,5°
VstupnĂ­ rychlost: 19,3 km/s
Rektascenze radiantu: 00:15 (3,8°)
Deklinace radiantu: 67,0°
MeteorickĂ˝ roj: sporadickĂ˝
Elementy dráhy meteoroidu:
Vzdálenost v periheliu: 0,940 AU
Excentricita: 0,648
Sklon dráhy: 20,4°
Délka vzestupného uzlu: 260,6°
Argument perihelia: 207,8°
Střední anomálie: 355,3°
Epocha: 2017 DEC 12 16:02:24
orbit plot

NeinteraktivnĂ­ graf | InteraktivnĂ­ graf

position vs time
speed and acceleration