🇳🇴 🇬🇧 🇩🇪 🇨🇿 🇫🇮

Meteor, poloha: Seljord 2017-12-12 19:28:53 UTC

Soubor KML  |  InteraktivnĂ­ mapa

Mapa zobrazuje dráhy meteoru. Světlejší čáry ukazují směry od pozorovacích stanic při objevení se meteoru a tmavší čáry, kde byl naposledy viděn. Modrá šipka značí viditelnou dráhu meteoru.

static map
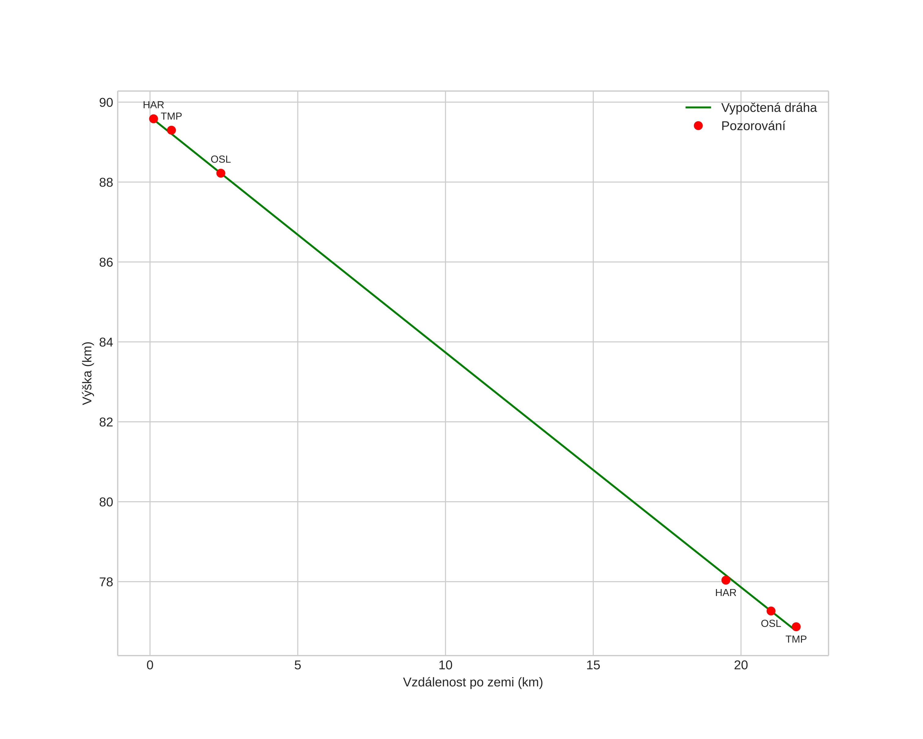
height profile
Atmosférická dráha meteoru:
Počáteční výška: 89,6 km
Konečná výška: 76,8 km
Počáteční poloha: 59,308N 9,147E
Konečná poloha: 59,248N 8,781E
Směr: 252,4°
Sklon: 30,4°
VstupnĂ­ rychlost: 38,5 km/s
Rektascenze radiantu: 07:25 (111,3°)
Deklinace radiantu: 33,7°
MeteorickĂ˝ roj: Geminidy
Elementy dráhy meteoroidu:
Vzdálenost v periheliu: 0,140 AU
Excentricita: 0,917
Sklon dráhy: 28,0°
Délka vzestupného uzlu: 260,7°
Argument perihelia: 322,5°
Střední anomálie: 343,8°
Epocha: 2017 DEC 12 19:28:53
orbit plot

NeinteraktivnĂ­ graf | InteraktivnĂ­ graf

position vs time
speed and acceleration