🇳🇴 🇬🇧 🇩🇪 🇨🇿 🇫🇮

Meteor, poloha: Nesbyen 2017-12-12 19:33:03 UTC

Soubor KML  |  InteraktivnĂ­ mapa

Mapa zobrazuje dráhy meteoru. Světlejší čáry ukazují směry od pozorovacích stanic při objevení se meteoru a tmavší čáry, kde byl naposledy viděn. Modrá šipka značí viditelnou dráhu meteoru.

static map
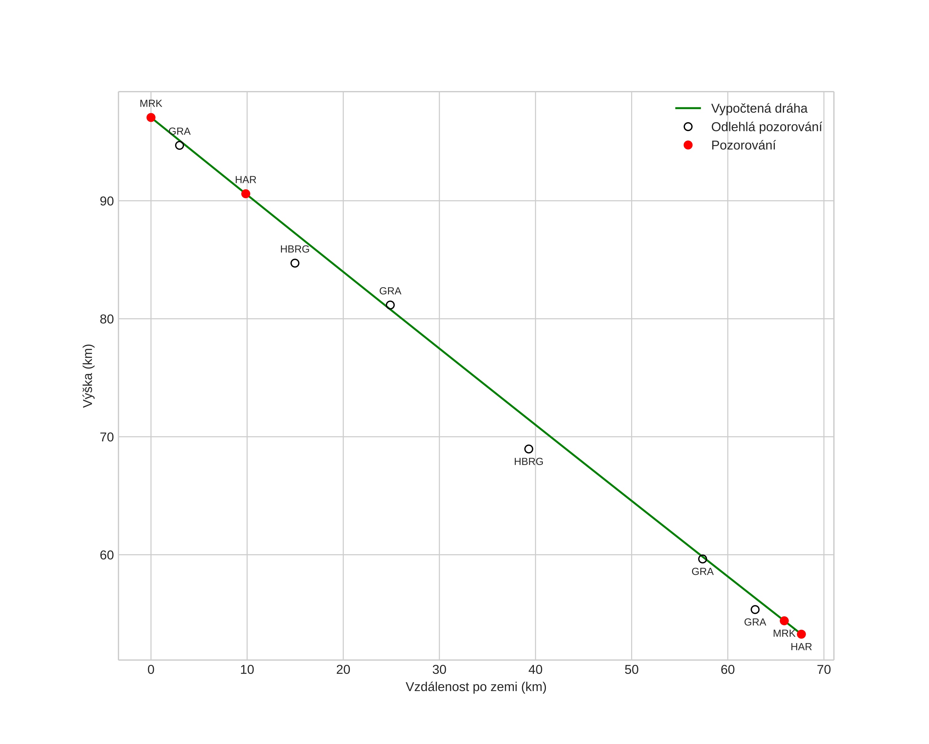
height profile
Atmosférická dráha meteoru:
Počáteční výška: 97,1 km
Konečná výška: 53,3 km
Počáteční poloha: 60,648N 10,270E
Konečná poloha: 60,475N 9,083E
Směr: 254,0°
Sklon: 32,9°
VstupnĂ­ rychlost: 35,4 km/s
Rektascenze radiantu: 07:25 (111,3°)
Deklinace radiantu: 34,9°
MeteorickĂ˝ roj: Geminidy
Elementy dráhy meteoroidu:
Vzdálenost v periheliu: 0,170 AU
Excentricita: 0,874
Sklon dráhy: 25,5°
Délka vzestupného uzlu: 260,7°
Argument perihelia: 320,7°
Střední anomálie: 335,6°
Epocha: 2017 DEC 12 19:33:03
orbit plot

NeinteraktivnĂ­ graf | InteraktivnĂ­ graf

position vs time
speed and acceleration