🇳🇴 🇬🇧 🇩🇪 🇨🇿 🇫🇮

Meteor, poloha: Lillesand 2017-12-13 00:51:59 UTC

Soubor KML  |  InteraktivnĂ­ mapa

Mapa zobrazuje dráhy meteoru. Světlejší čáry ukazují směry od pozorovacích stanic při objevení se meteoru a tmavší čáry, kde byl naposledy viděn. Modrá šipka značí viditelnou dráhu meteoru.

static map
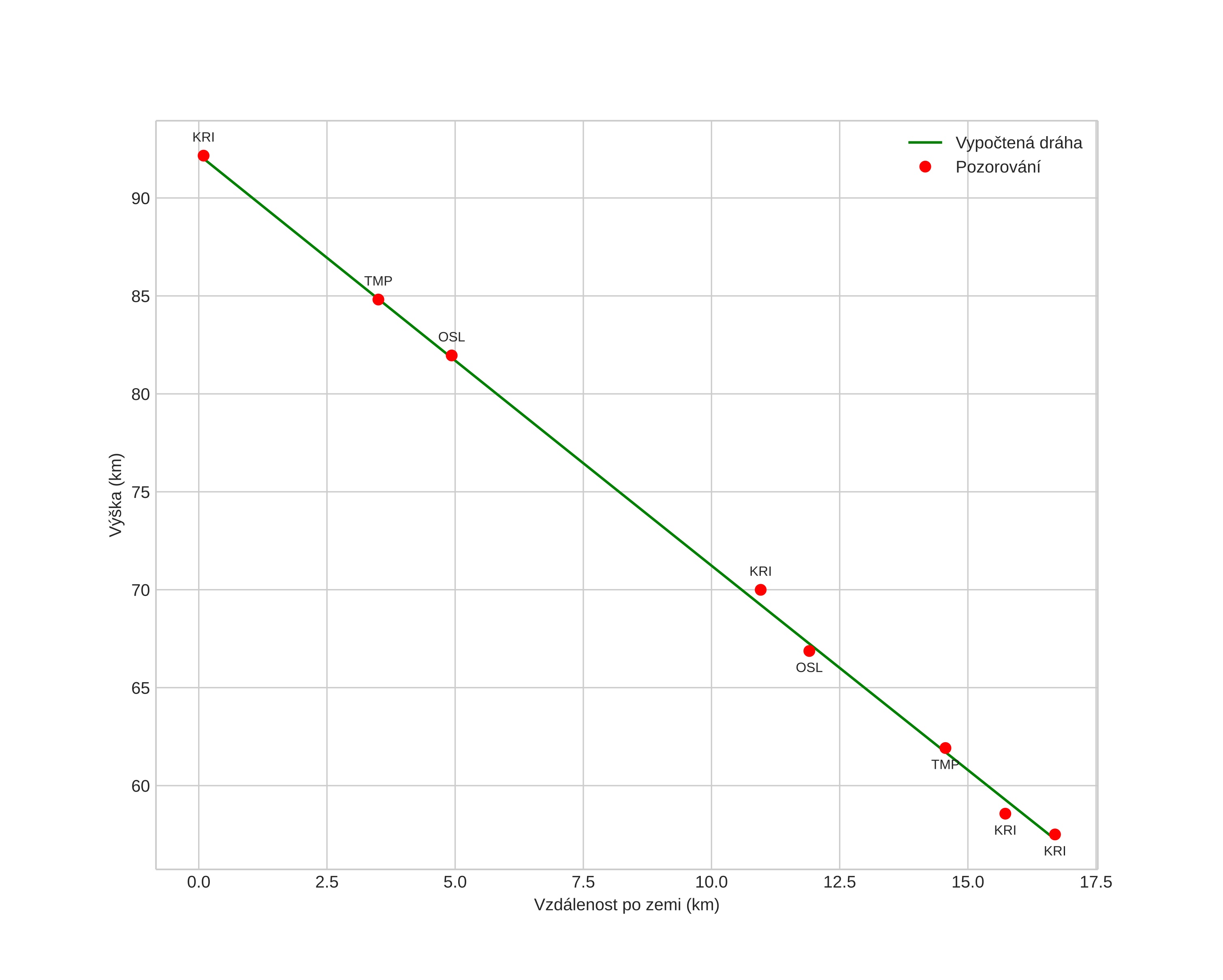
height profile
Atmosférická dráha meteoru:
Počáteční výška: 92,2 km
Konečná výška: 57,5 km
Počáteční poloha: 57,855N 8,636E
Konečná poloha: 57,994N 8,536E
Směr: 339,2°
Sklon: 64,4°
VstupnĂ­ rychlost: 34,9 km/s
Rektascenze radiantu: 07:33 (113,4°)
Deklinace radiantu: 32,6°
MeteorickĂ˝ roj: Geminidy
Elementy dráhy meteoroidu:
Vzdálenost v periheliu: 0,144 AU
Excentricita: 0,880
Sklon dráhy: 23,0°
Délka vzestupného uzlu: 260,9°
Argument perihelia: 325,3°
Střední anomálie: 331,4°
Epocha: 2017 DEC 13 00:51:59
orbit plot

NeinteraktivnĂ­ graf | InteraktivnĂ­ graf

position vs time
speed and acceleration