🇳🇴 🇬🇧 🇩🇪 🇨🇿 🇫🇮

Meteor Rollagin yllä 2017-12-13 02:07:09 UTC

KML-tiedosto  |  Interaktiivinen kartta

Kartta näyttää meteorin suuntahavainnot. Vaaleammat viivat näyttävät suunnat havaintoasemilta meteorin ilmestyessä, ja tummemmat viivat näyttävät, missä se viimeksi nähtiin. Sininen nuoli näyttää meteorin näkyvän lennon.

static map
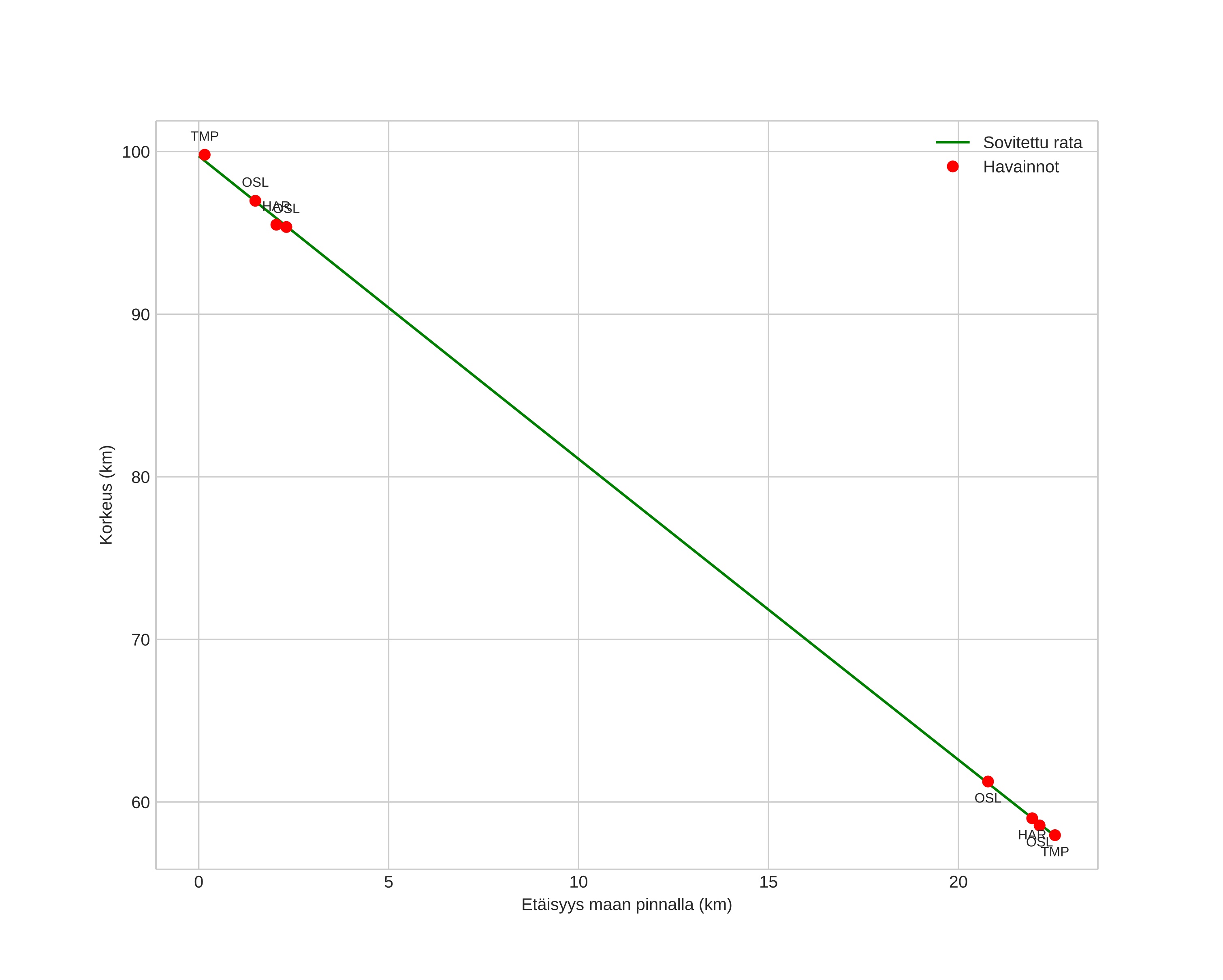
height profile
Meteorin ilmakehärata:
Alkukorkeus: 99,7 km
Loppukorkeus: 58,0 km
Alkupiste: 59,778N 8,931E
Loppupiste: 59,974N 9,031E
Suunta: 14,3°
Kallistuskulma: 61,6°
Tulonopeus: 35,1 km/s
Radiantin R,A,: 07:35 (113,8°)
Radiantin Dekl,: 31,0°
Meteoriparvi: Geminidit
Meteoroidin rataelementit:
Perihelietäisyys: 0,131 AU
Eksentrisyys: 0,890
Inklinaatio: 20,9°
Nousevan solmun pituus: 261,0°
Perihelin argumentti: 327,3°
Keskianomalia: 331,1°
Epookki: 2017 DEC 13 02:07:09
orbit plot

Ei-interaktiivinen kuvaaja | Interaktiivinen kuvaaja

position vs time
speed and acceleration