🇳🇴 🇬🇧 🇩🇪 🇨🇿 🇫🇮

Meteor, poloha: Kiruna 2017-12-14 02:59:09 UTC

Soubor KML  |  InteraktivnĂ­ mapa

Mapa zobrazuje dráhy meteoru. Světlejší čáry ukazují směry od pozorovacích stanic při objevení se meteoru a tmavší čáry, kde byl naposledy viděn. Modrá šipka značí viditelnou dráhu meteoru.

static map
height profile
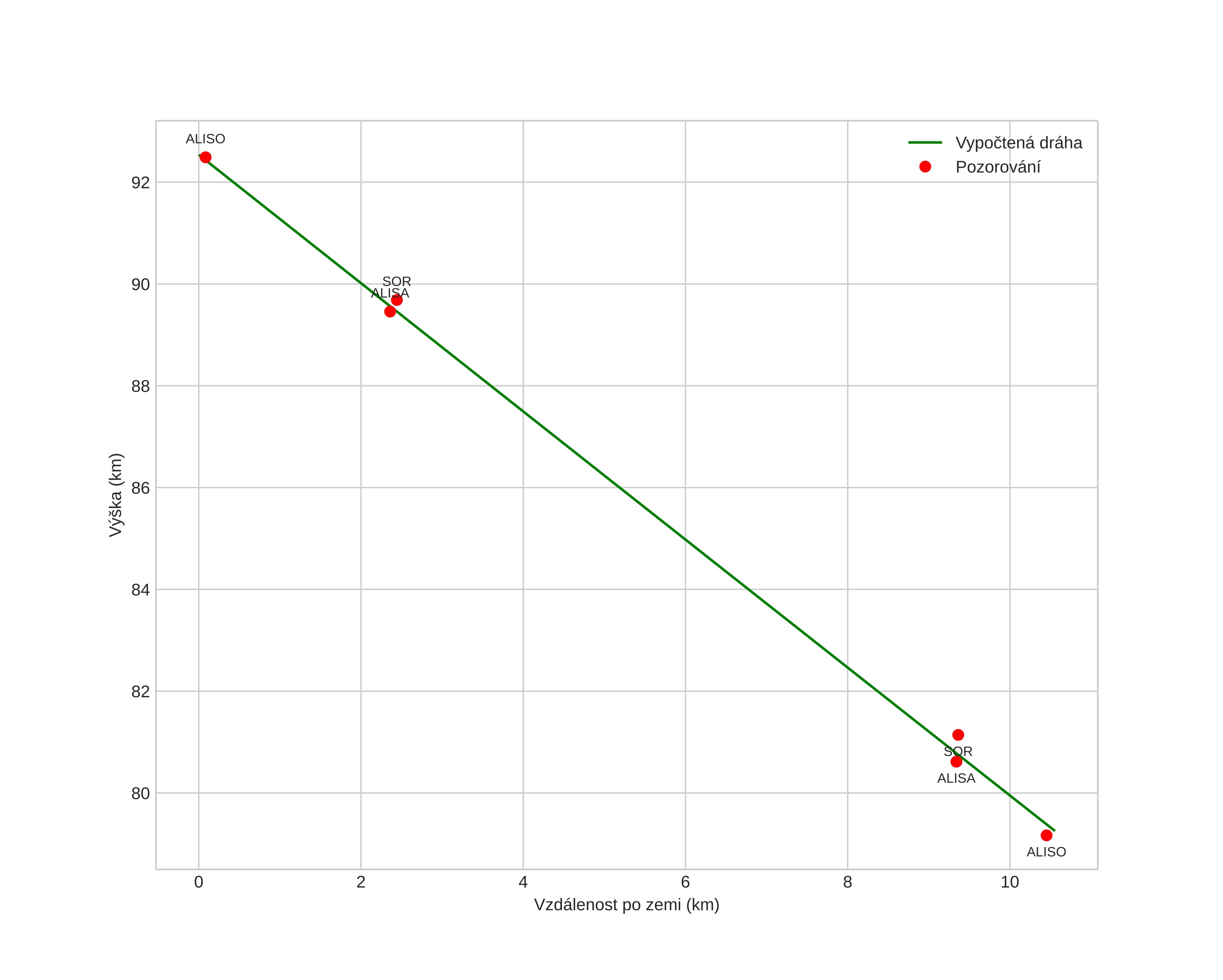
Atmosférická dráha meteoru:
Počáteční výška: 92,5 km
Konečná výška: 79,3 km
Počáteční poloha: 68,006N 19,132E
Konečná poloha: 68,071N 19,315E
Směr: 46,2°
Sklon: 51,3°
VstupnĂ­ rychlost: 38,6 km/s
Rektascenze radiantu: 07:31 (113,0°)
Deklinace radiantu: 33,3°
MeteorickĂ˝ roj: Geminidy
Elementy dráhy meteoroidu:
Vzdálenost v periheliu: 0,134 AU
Excentricita: 0,922
Sklon dráhy: 28,4°
Délka vzestupného uzlu: 262,1°
Argument perihelia: 323,1°
Střední anomálie: 344,6°
Epocha: 2017 DEC 14 02:59:09
orbit plot

NeinteraktivnĂ­ graf | InteraktivnĂ­ graf

position vs time
speed and acceleration