🇳🇴 🇬🇧 🇩🇪 🇨🇿 🇫🇮

Meteor Setermoenin yllä 2017-12-14 04:43:04 UTC

KML-tiedosto  |  Interaktiivinen kartta

Kartta näyttää meteorin suuntahavainnot. Vaaleammat viivat näyttävät suunnat havaintoasemilta meteorin ilmestyessä, ja tummemmat viivat näyttävät, missä se viimeksi nähtiin. Sininen nuoli näyttää meteorin näkyvän lennon.

static map
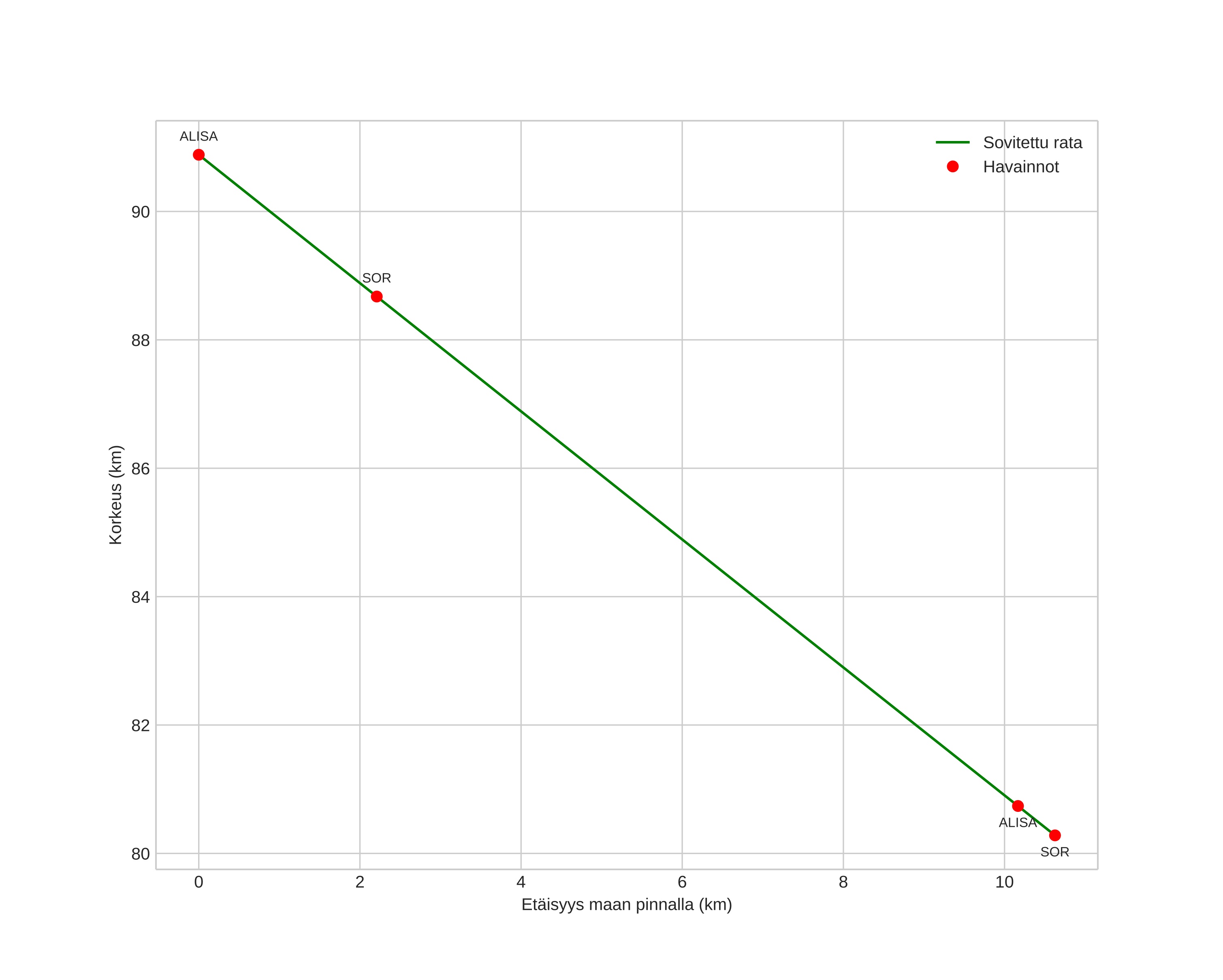
height profile
Meteorin ilmakehärata:
Alkukorkeus: 90,9 km
Loppukorkeus: 80,3 km
Alkupiste: 67,974N 18,814E
Loppupiste: 68,006N 19,055E
Suunta: 70,4°
Kallistuskulma: 44,9°
Tulonopeus: 39,8 km/s
Radiantin R,A,: 07:50 (117,7°)
Radiantin Dekl,: 33,5°
Meteoriparvi: Geminidit
Meteoroidin rataelementit:
Perihelietäisyys: 0,104 AU
Eksentrisyys: 0,932
Inklinaatio: 37,0°
Nousevan solmun pituus: 262,1°
Perihelin argumentti: 328,7°
Keskianomalia: 341,8°
Epookki: 2017 DEC 14 04:43:04
orbit plot

Ei-interaktiivinen kuvaaja | Interaktiivinen kuvaaja

position vs time
speed and acceleration