🇳🇴 🇬🇧 🇩🇪 🇨🇿 🇫🇮

Meteor, poloha: Lødingen 2017-12-14 19:06:16 UTC

Soubor KML  |  InteraktivnĂ­ mapa

Mapa zobrazuje dráhy meteoru. Světlejší čáry ukazují směry od pozorovacích stanic při objevení se meteoru a tmavší čáry, kde byl naposledy viděn. Modrá šipka značí viditelnou dráhu meteoru.

static map
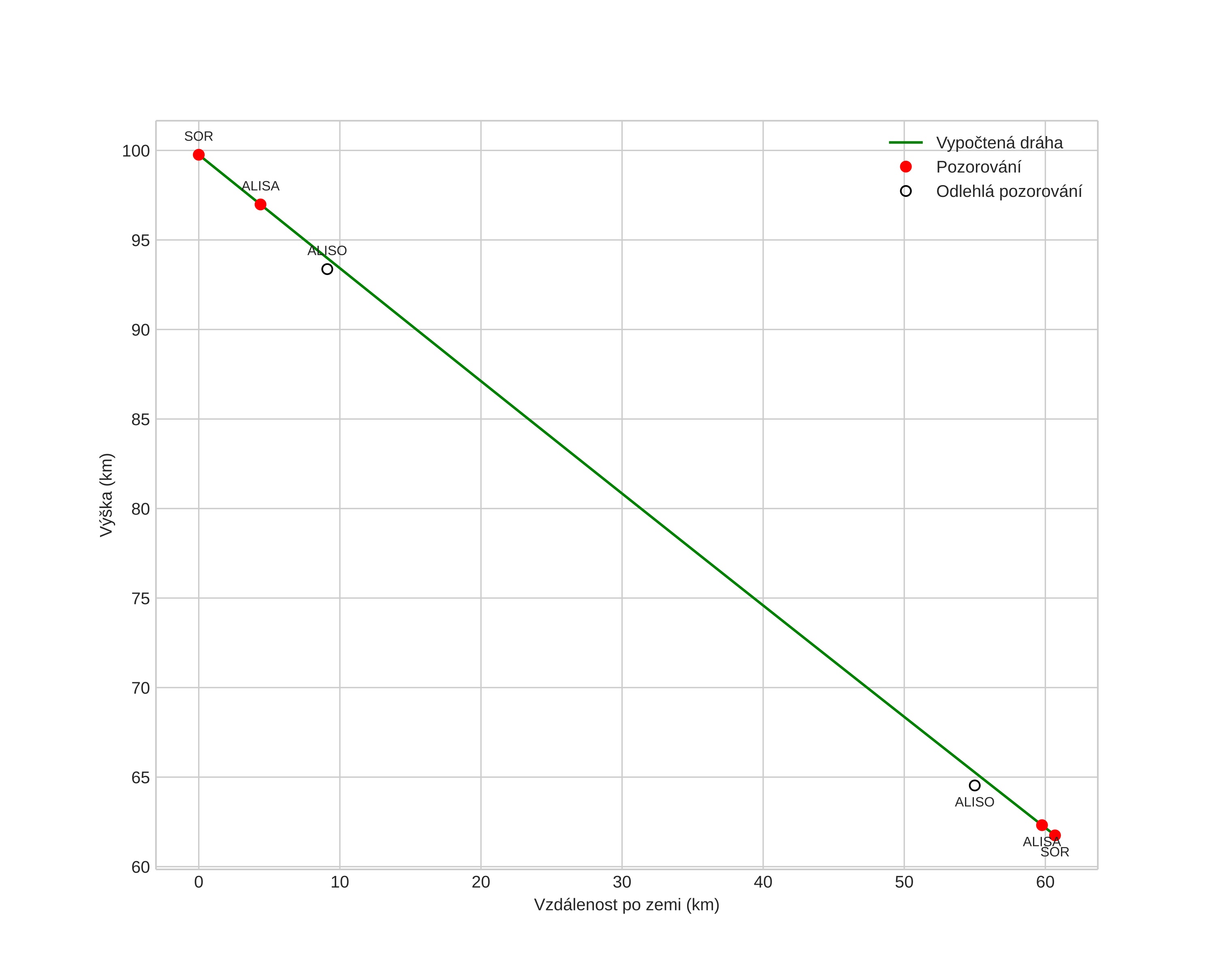
height profile
Atmosférická dráha meteoru:
Počáteční výška: 99,8 km
Konečná výška: 61,7 km
Počáteční poloha: 68,067N 17,504E
Konečná poloha: 67,955N 16,077E
Směr: 258,9°
Sklon: 32,1°
VstupnĂ­ rychlost: 36,9 km/s
Rektascenze radiantu: 07:39 (114,8°)
Deklinace radiantu: 32,5°
MeteorickĂ˝ roj: Geminidy
Elementy dráhy meteoroidu:
Vzdálenost v periheliu: 0,136 AU
Excentricita: 0,902
Sklon dráhy: 25,3°
Délka vzestupného uzlu: 262,7°
Argument perihelia: 324,8°
Střední anomálie: 337,7°
Epocha: 2017 DEC 14 19:06:16
orbit plot

NeinteraktivnĂ­ graf | InteraktivnĂ­ graf

position vs time
speed and acceleration