🇳🇴 🇬🇧 🇩🇪 🇨🇿 🇫🇮

Meteor, poloha: Aurlandsvangen 2017-12-16 02:07:16 UTC

Soubor KML  |  InteraktivnĂ­ mapa

Mapa zobrazuje dráhy meteoru. Světlejší čáry ukazují směry od pozorovacích stanic při objevení se meteoru a tmavší čáry, kde byl naposledy viděn. Modrá šipka značí viditelnou dráhu meteoru.

static map
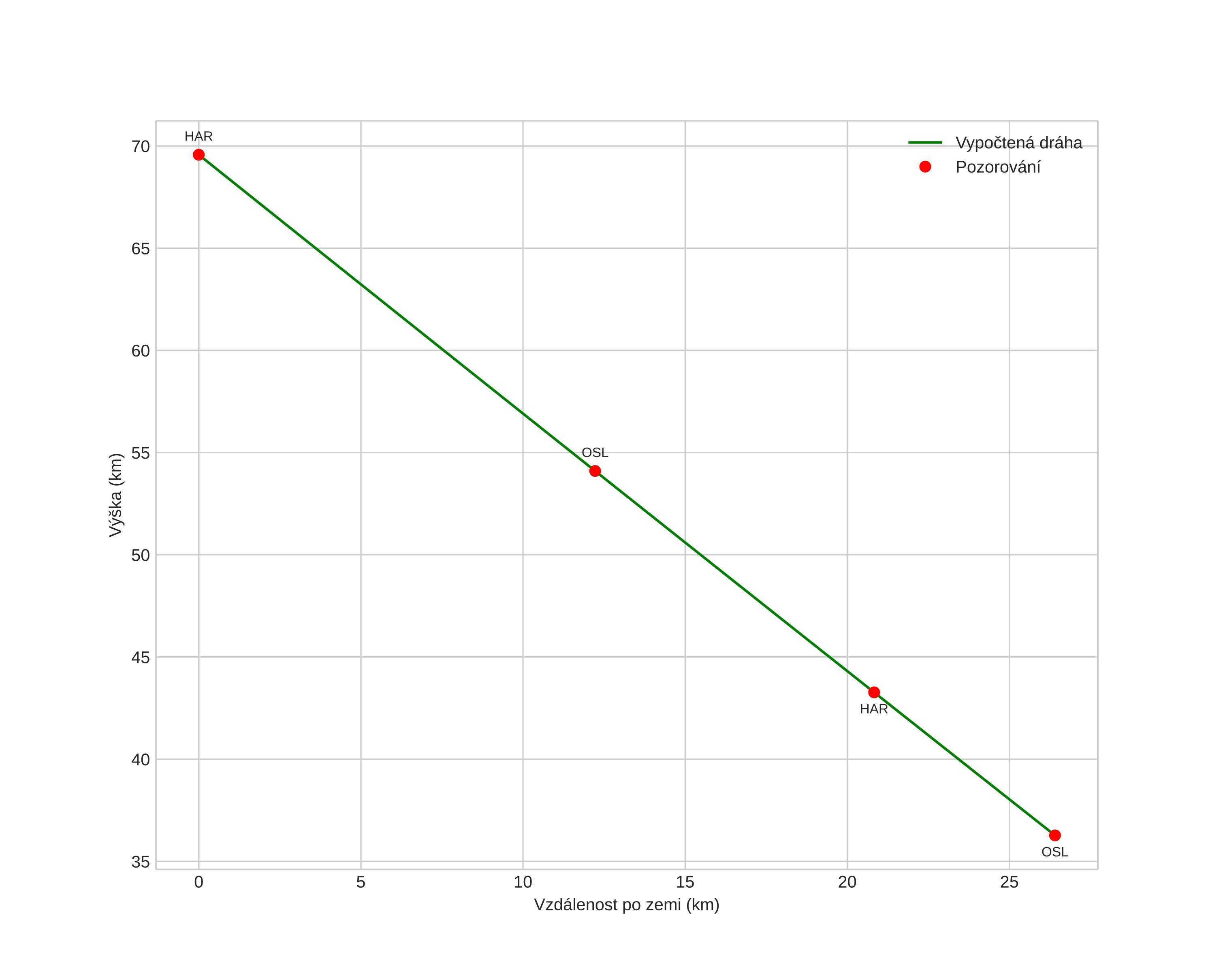
height profile
Atmosférická dráha meteoru:
Počáteční výška: 69,6 km
Konečná výška: 36,3 km
Počáteční poloha: 60,987N 6,695E
Konečná poloha: 60,899N 7,149E
Směr: 111,6°
Sklon: 51,6°
VstupnĂ­ rychlost: 12,8 km/s
Rektascenze radiantu: 02:28 (37,1°)
Deklinace radiantu: 42,2°
MeteorickĂ˝ roj: sporadickĂ˝
Elementy dráhy meteoroidu:
Vzdálenost v periheliu: 0,940 AU
Excentricita: 0,331
Sklon dráhy: 5,0°
Délka vzestupného uzlu: 264,0°
Argument perihelia: 215,1°
Střední anomálie: 342,9°
Epocha: 2017 DEC 16 02:07:16
orbit plot

NeinteraktivnĂ­ graf | InteraktivnĂ­ graf

position vs time
speed and acceleration