🇳🇴 🇬🇧 🇩🇪 🇨🇿 🇫🇮

Meteor, poloha: Kinsarvik 2017-12-18 16:37:07 UTC

Soubor KML  |  InteraktivnĂ­ mapa

Mapa zobrazuje dráhy meteoru. Světlejší čáry ukazují směry od pozorovacích stanic při objevení se meteoru a tmavší čáry, kde byl naposledy viděn. Modrá šipka značí viditelnou dráhu meteoru.

static map
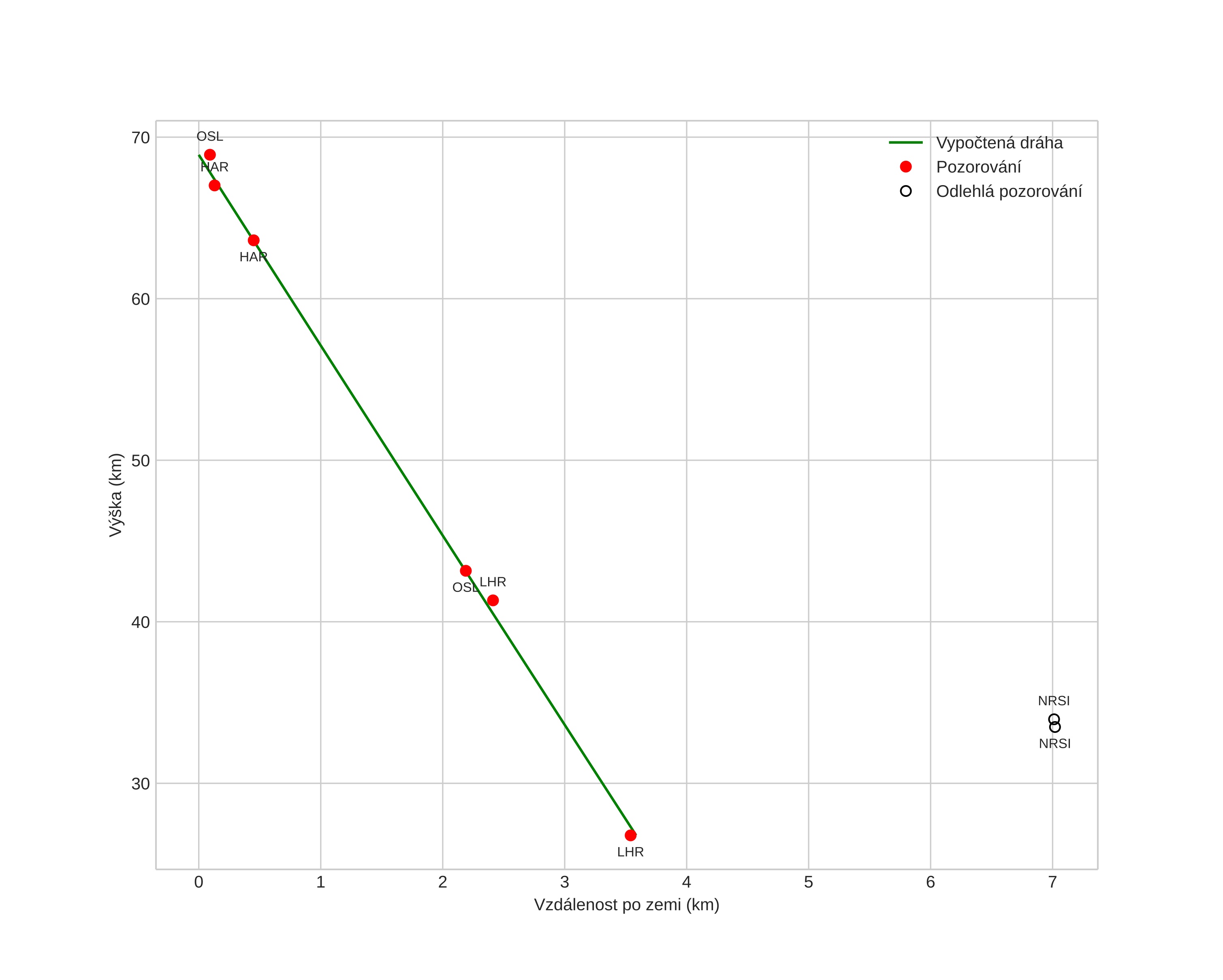
height profile
Atmosférická dráha meteoru:
Počáteční výška: 68,9 km
Konečná výška: 26,8 km
Počáteční poloha: 60,093N 6,854E
Konečná poloha: 60,076N 6,910E
Směr: 121,4°
Sklon: 85,1°
VstupnĂ­ rychlost: 15,4 km/s
Rektascenze radiantu: 22:02 (330,5°)
Deklinace radiantu: 62,3°
MeteorickĂ˝ roj: sporadickĂ˝
Elementy dráhy meteoroidu:
Vzdálenost v periheliu: 0,979 AU
Excentricita: 0,427
Sklon dráhy: 15,5°
Délka vzestupného uzlu: 266,7°
Argument perihelia: 190,1°
Střední anomálie: 356,3°
Epocha: 2017 DEC 18 16:37:07
orbit plot

NeinteraktivnĂ­ graf | InteraktivnĂ­ graf

position vs time
speed and acceleration

Lhr (LHR) cam1

gnomonic
Videa
Obrázky
Textové soubory
• Detekce
• Pozorování
• Souřadnice
• Protokol

Nrsi (NRSI) cam1

gnomonic
Videa
Obrázky
Textové soubory
• Detekce
• Pozorování
• Protokol
Jasnost