🇳🇴 🇬🇧 🇩🇪 🇨🇿 🇫🇮

Meteor, poloha: Lillehammer 2017-12-18 23:40:19 UTC

Soubor KML  |  InteraktivnĂ­ mapa

Mapa zobrazuje dráhy meteoru. Světlejší čáry ukazují směry od pozorovacích stanic při objevení se meteoru a tmavší čáry, kde byl naposledy viděn. Modrá šipka značí viditelnou dráhu meteoru.

static map
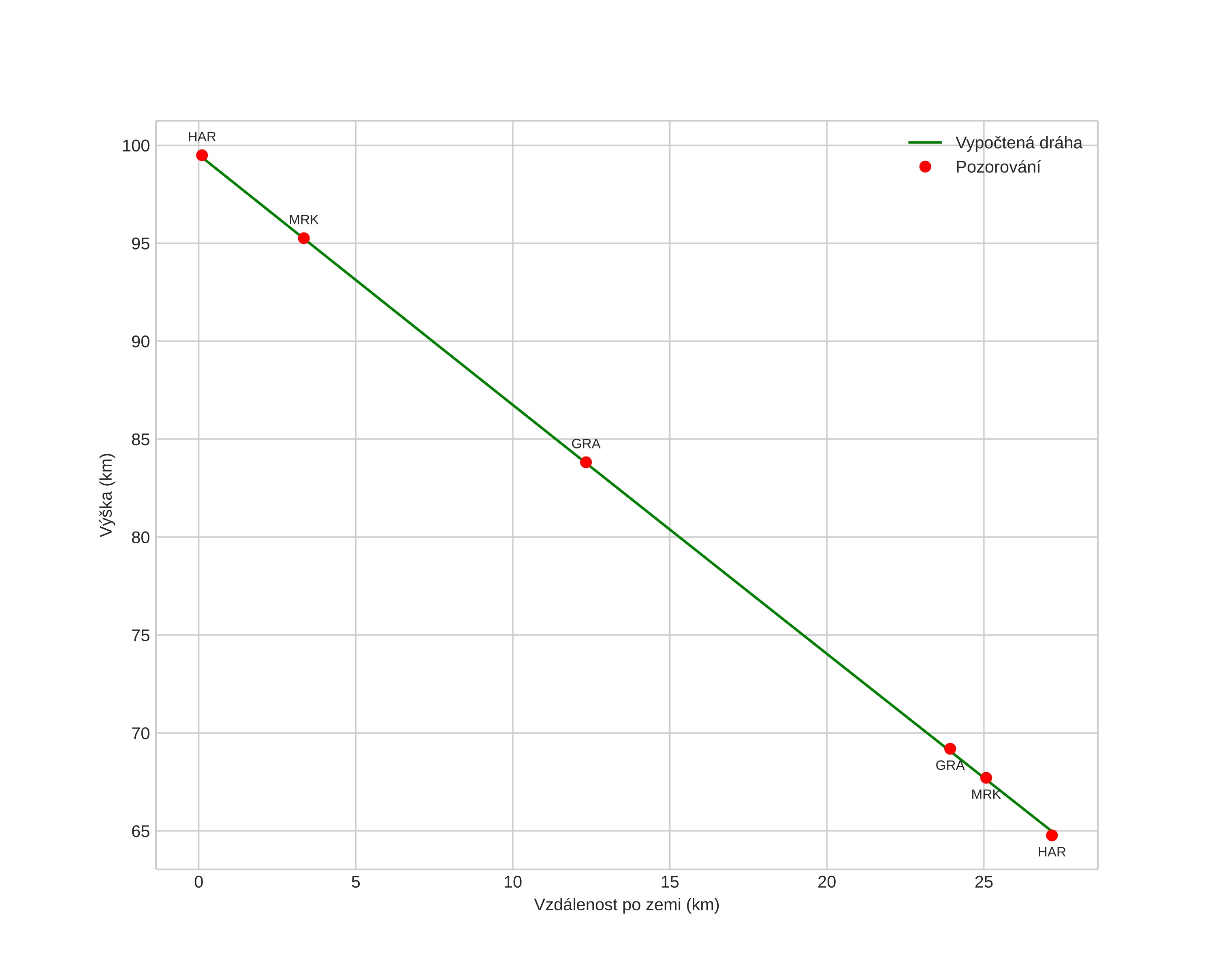
height profile
Atmosférická dráha meteoru:
Počáteční výška: 99,5 km
Konečná výška: 64,9 km
Počáteční poloha: 61,480N 10,777E
Konečná poloha: 61,237N 10,705E
Směr: 188,1°
Sklon: 51,8°
VstupnĂ­ rychlost: 43,7 km/s
Rektascenze radiantu: 16:32 (248,1°)
Deklinace radiantu: 79,0°
MeteorickĂ˝ roj: sporadickĂ˝
Elementy dráhy meteoroidu:
Vzdálenost v periheliu: 0,955 AU
Excentricita: 1,740
Sklon dráhy: 56,9°
Délka vzestupného uzlu: 267,0°
Argument perihelia: 197,4°
Střední anomálie: -6,8°
Epocha: 2017 DEC 18 23:40:19
orbit plot

NeinteraktivnĂ­ graf | InteraktivnĂ­ graf

position vs time
speed and acceleration