🇳🇴 🇬🇧 🇩🇪 🇨🇿 🇫🇮

Meteor, poloha: Ă…mli 2017-12-19 04:47:19 UTC

Soubor KML  |  InteraktivnĂ­ mapa

Mapa zobrazuje dráhy meteoru. Světlejší čáry ukazují směry od pozorovacích stanic při objevení se meteoru a tmavší čáry, kde byl naposledy viděn. Modrá šipka značí viditelnou dráhu meteoru.

static map
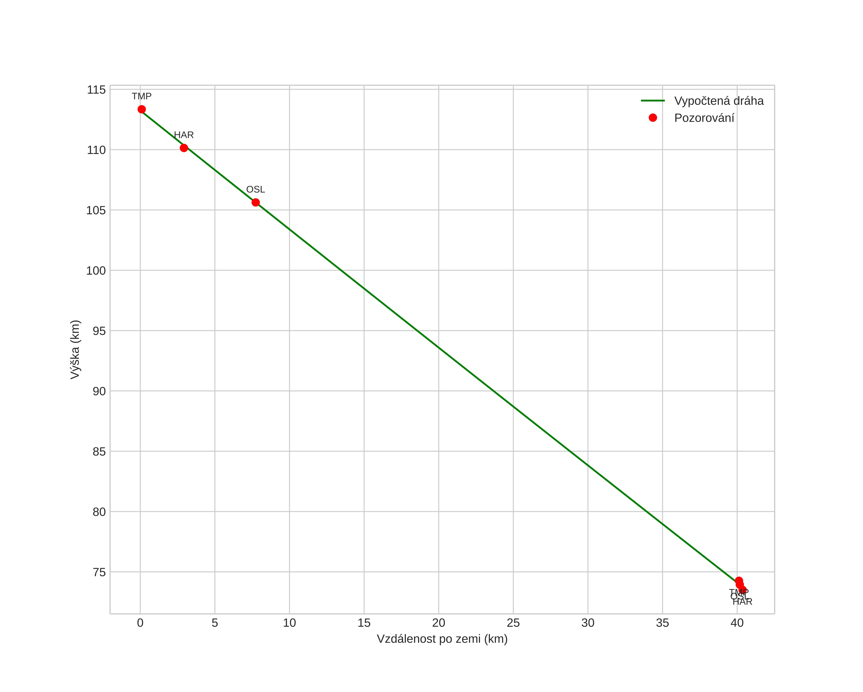
height profile
Atmosférická dráha meteoru:
Počáteční výška: 113,2 km
Konečná výška: 73,6 km
Počáteční poloha: 58,422N 8,658E
Konečná poloha: 58,766N 8,429E
Směr: 341,0°
Sklon: 44,4°
VstupnĂ­ rychlost: 73,9 km/s
Rektascenze radiantu: 12:07 (181,9°)
Deklinace radiantu: 13,8°
MeteorickĂ˝ roj: sporadickĂ˝
Elementy dráhy meteoroidu:
Vzdálenost v periheliu: 0,983 AU
Excentricita: 1,162
Sklon dráhy: 157,5°
Délka vzestupného uzlu: 267,2°
Argument perihelia: 183,5°
Střední anomálie: -0,2°
Epocha: 2017 DEC 19 04:47:19
orbit plot

NeinteraktivnĂ­ graf | InteraktivnĂ­ graf

position vs time
speed and acceleration