🇳🇴 🇬🇧 🇩🇪 🇨🇿 🇫🇮

Meteor, poloha: Hov 2017-12-19 16:36:38 UTC

Soubor KML  |  InteraktivnĂ­ mapa

Mapa zobrazuje dráhy meteoru. Světlejší čáry ukazují směry od pozorovacích stanic při objevení se meteoru a tmavší čáry, kde byl naposledy viděn. Modrá šipka značí viditelnou dráhu meteoru.

static map
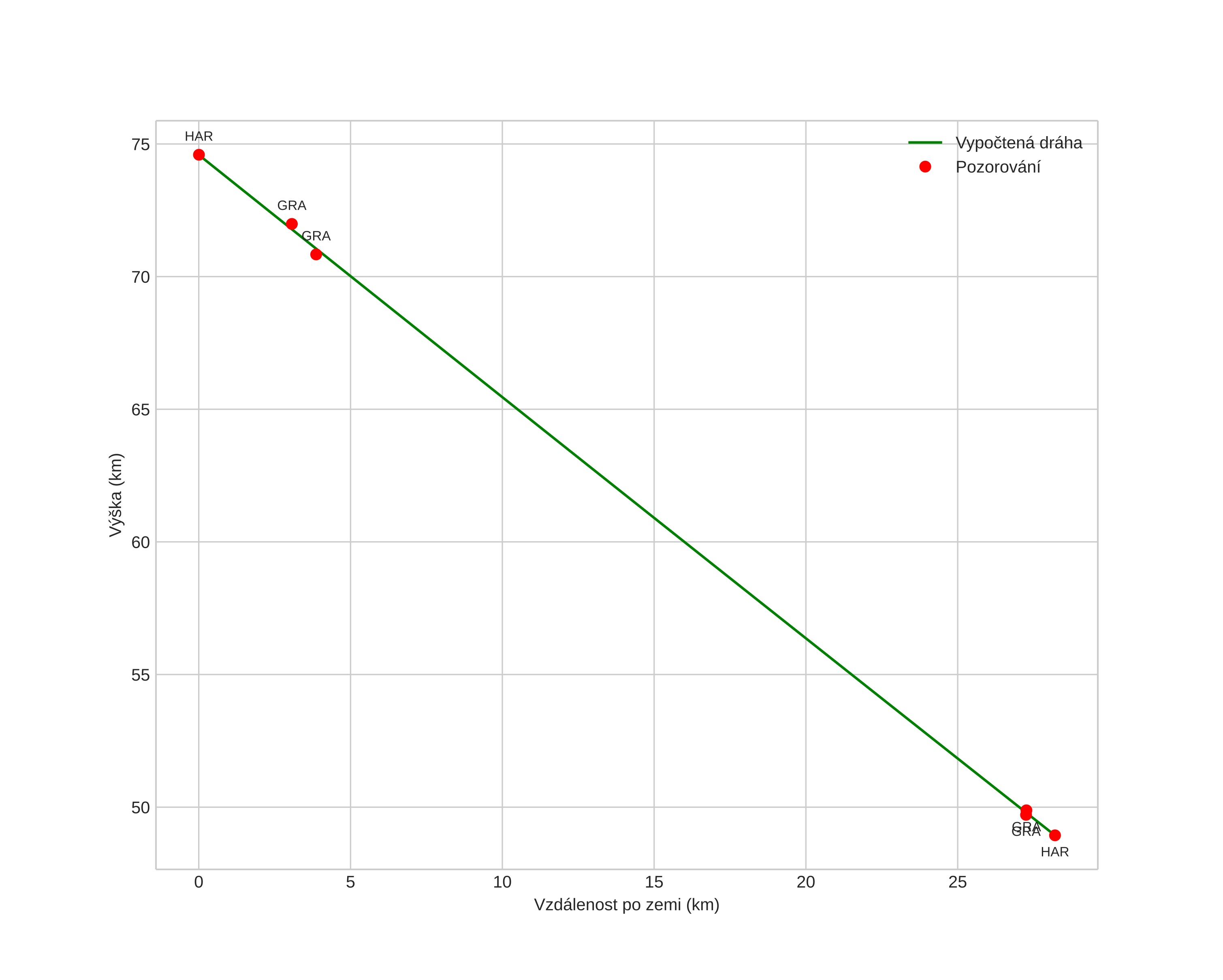
height profile
Atmosférická dráha meteoru:
Počáteční výška: 74,6 km
Konečná výška: 48,9 km
Počáteční poloha: 60,536N 9,808E
Konečná poloha: 60,661N 10,258E
Směr: 60,3°
Sklon: 42,3°
VstupnĂ­ rychlost: 19,4 km/s
Rektascenze radiantu: 19:58 (299,6°)
Deklinace radiantu: 19,2°
MeteorickĂ˝ roj: sporadickĂ˝
Elementy dráhy meteoroidu:
Vzdálenost v periheliu: 0,924 AU
Excentricita: 0,837
Sklon dráhy: 14,8°
Délka vzestupného uzlu: 267,7°
Argument perihelia: 150,1°
Střední anomálie: 1,5°
Epocha: 2017 DEC 19 16:36:38
orbit plot

NeinteraktivnĂ­ graf | InteraktivnĂ­ graf

position vs time
speed and acceleration