🇳🇴 🇬🇧 🇩🇪 🇨🇿 🇫🇮

Meteor, poloha: Hanstholm 2017-12-20 18:41:57 UTC

Soubor KML  |  InteraktivnĂ­ mapa

Mapa zobrazuje dráhy meteoru. Světlejší čáry ukazují směry od pozorovacích stanic při objevení se meteoru a tmavší čáry, kde byl naposledy viděn. Modrá šipka značí viditelnou dráhu meteoru.

static map
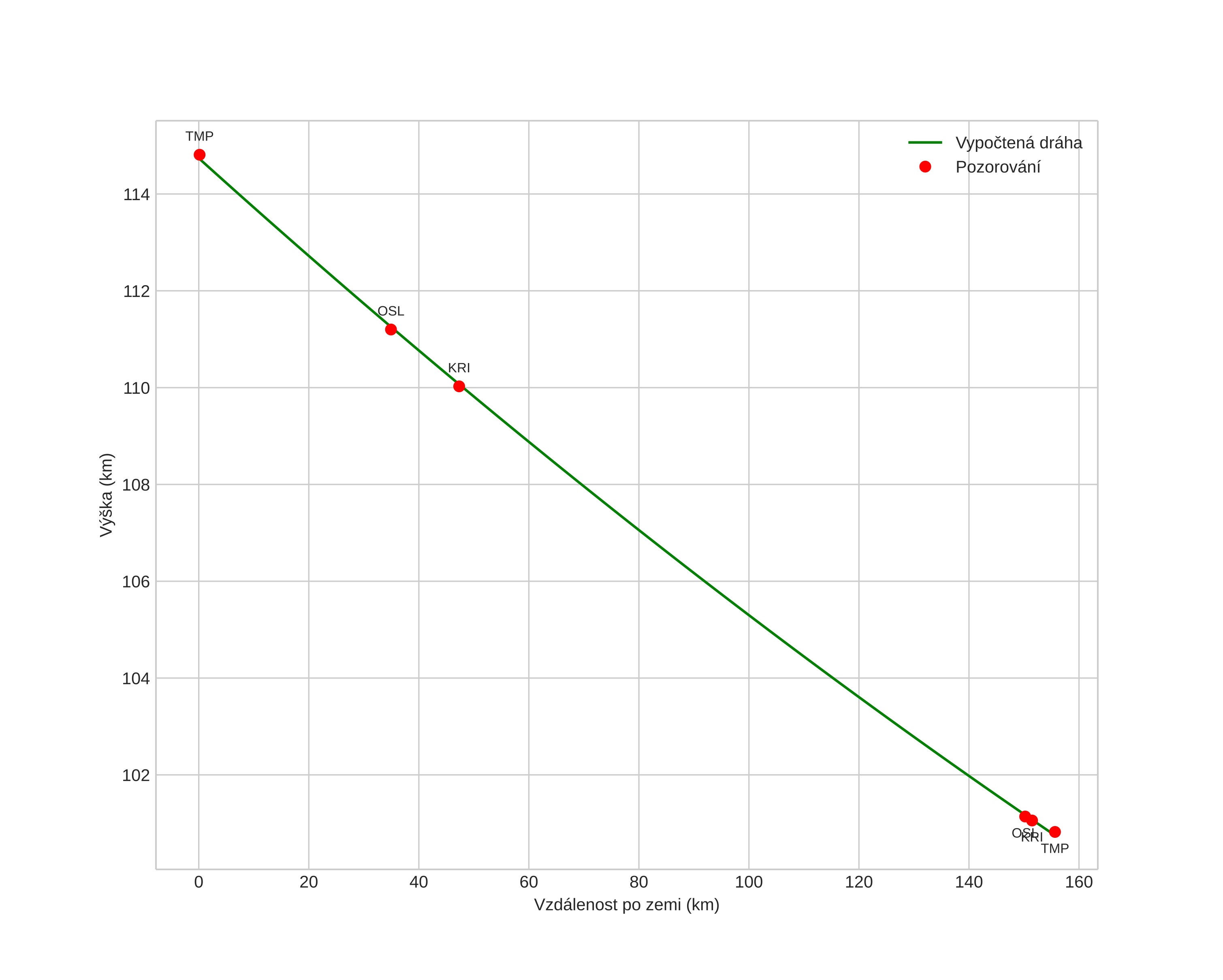
height profile
Atmosférická dráha meteoru:
Počáteční výška: 114,7 km
Konečná výška: 100,8 km
Počáteční poloha: 58,818N 10,215E
Konečná poloha: 57,634N 8,797E
Směr: 212,8°
Sklon: 5,1°
VstupnĂ­ rychlost: 64,3 km/s
Rektascenze radiantu: 10:46 (161,5°)
Deklinace radiantu: 30,0°
MeteorickĂ˝ roj: desember-leonis-minoridene
Elementy dráhy meteoroidu:
Vzdálenost v periheliu: 0,546 AU
Excentricita: 0,961
Sklon dráhy: 135,1°
Délka vzestupného uzlu: 268,8°
Argument perihelia: 264,7°
Střední anomálie: 359,3°
Epocha: 2017 DEC 20 18:41:57
orbit plot

NeinteraktivnĂ­ graf | InteraktivnĂ­ graf

position vs time
speed and acceleration