🇳🇴 🇬🇧 🇩🇪 🇨🇿 🇫🇮

Meteor Årnesin yllä 2017-12-21 17:04:17 UTC

KML-tiedosto  |  Interaktiivinen kartta

Kartta näyttää meteorin suuntahavainnot. Vaaleammat viivat näyttävät suunnat havaintoasemilta meteorin ilmestyessä, ja tummemmat viivat näyttävät, missä se viimeksi nähtiin. Sininen nuoli näyttää meteorin näkyvän lennon.

static map
height profile
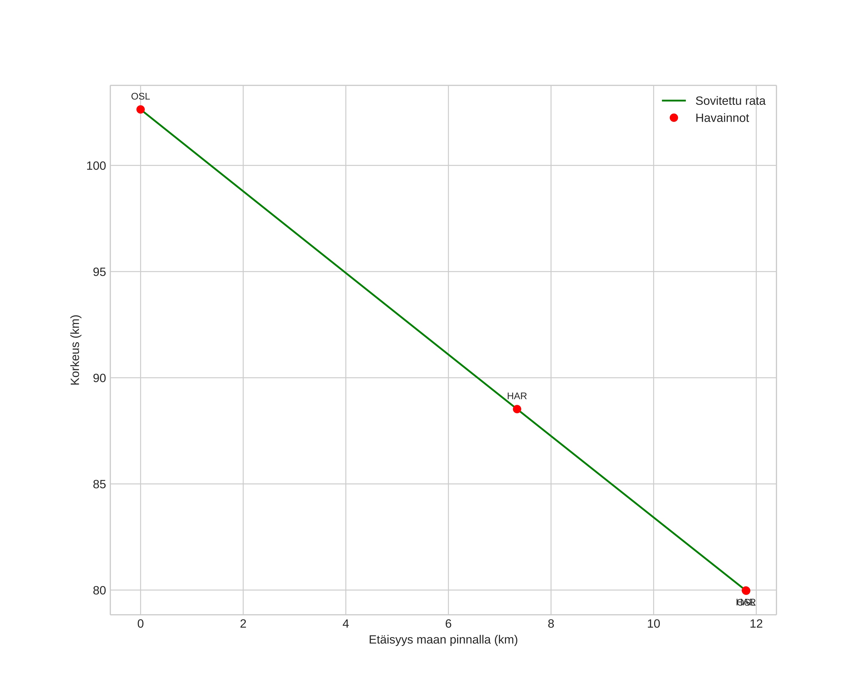
Meteorin ilmakehärata:
Alkukorkeus: 102,6 km
Loppukorkeus: 80,0 km
Alkupiste: 60,348N 11,405E
Loppupiste: 60,243N 11,432E
Suunta: 172,9°
Kallistuskulma: 62,4°
Tulonopeus: 32,4 km/s
Radiantin R,A,: 19:22 (290,5°)
Radiantin Dekl,: 85,9°
Meteoriparvi: Sporadinen
Meteoroidin rataelementit:
Perihelietäisyys: 0,931 AU
Eksentrisyys: 1,093
Inklinaatio: 42,8°
Nousevan solmun pituus: 269,8°
Perihelin argumentti: 206,3°
Keskianomalia: -0,5°
Epookki: 2017 DEC 21 17:04:17
orbit plot

Ei-interaktiivinen kuvaaja | Interaktiivinen kuvaaja

position vs time
speed and acceleration