🇳🇴 🇬🇧 🇩🇪 🇨🇿 🇫🇮

Meteor, poloha: Vinderup 2017-12-21 17:52:19 UTC

Soubor KML  |  InteraktivnĂ­ mapa

Mapa zobrazuje dráhy meteoru. Světlejší čáry ukazují směry od pozorovacích stanic při objevení se meteoru a tmavší čáry, kde byl naposledy viděn. Modrá šipka značí viditelnou dráhu meteoru.

static map
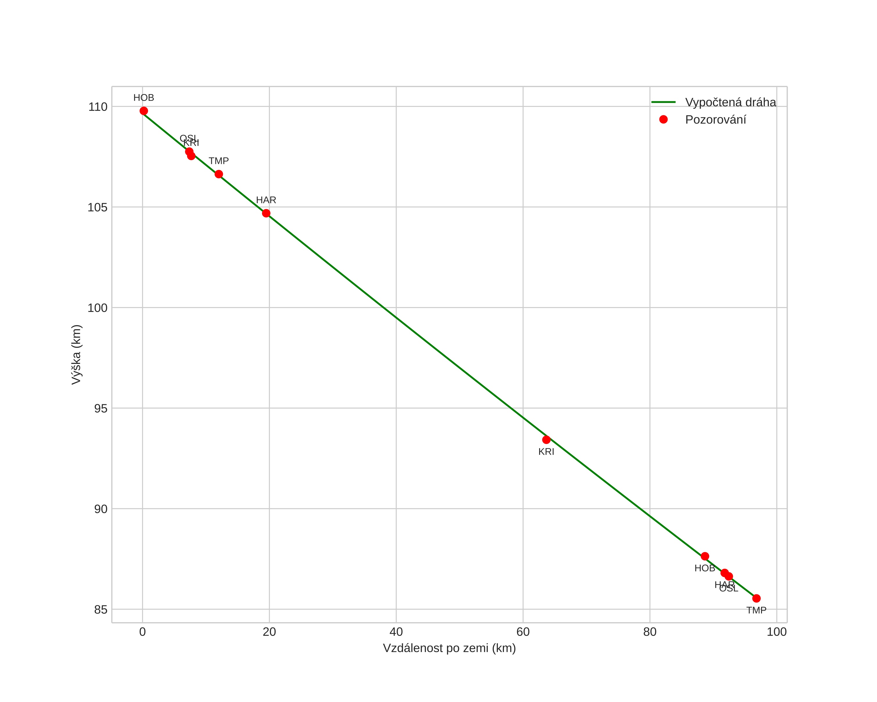
height profile
Atmosférická dráha meteoru:
Počáteční výška: 109,7 km
Konečná výška: 85,6 km
Počáteční poloha: 57,460N 9,296E
Konečná poloha: 56,636N 8,780E
Směr: 199,0°
Sklon: 14,0°
VstupnĂ­ rychlost: 56,9 km/s
Rektascenze radiantu: 10:47 (162,0°)
Deklinace radiantu: 43,5°
MeteorickĂ˝ roj: sporadickĂ˝
Elementy dráhy meteoroidu:
Vzdálenost v periheliu: 0,554 AU
Excentricita: 0,931
Sklon dráhy: 105,2°
Délka vzestupného uzlu: 269,8°
Argument perihelia: 264,7°
Střední anomálie: 358,3°
Epocha: 2017 DEC 21 17:52:19
orbit plot

NeinteraktivnĂ­ graf | InteraktivnĂ­ graf

position vs time
speed and acceleration