🇳🇴 🇬🇧 🇩🇪 🇨🇿 🇫🇮

Meteor, poloha: Vinstra 2017-12-21 23:27:31 UTC

Soubor KML  |  InteraktivnĂ­ mapa

Mapa zobrazuje dráhy meteoru. Světlejší čáry ukazují směry od pozorovacích stanic při objevení se meteoru a tmavší čáry, kde byl naposledy viděn. Modrá šipka značí viditelnou dráhu meteoru.

static map
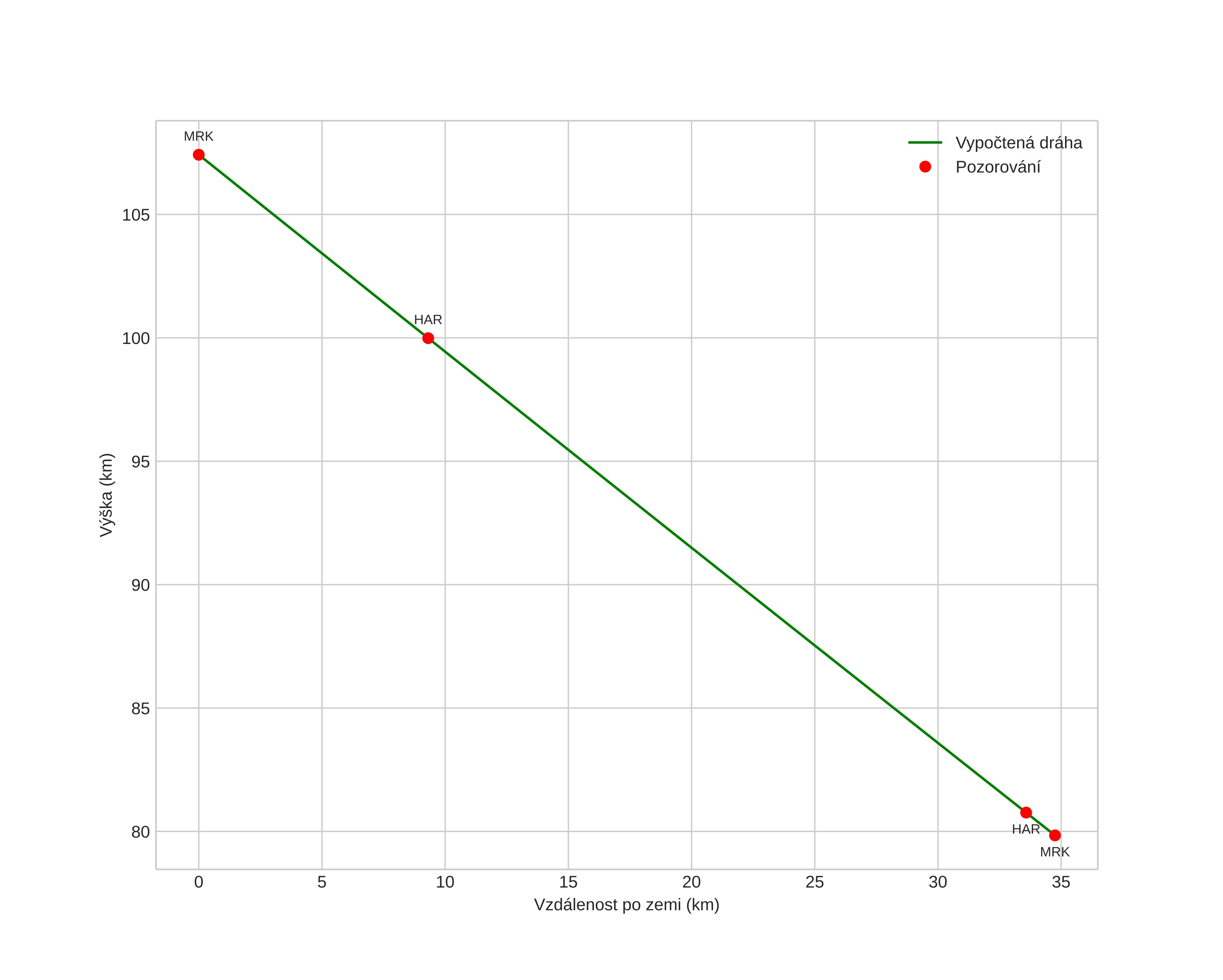
height profile
Atmosférická dráha meteoru:
Počáteční výška: 107,4 km
Konečná výška: 79,8 km
Počáteční poloha: 61,321N 10,078E
Konečná poloha: 61,375N 9,436E
Směr: 280,2°
Sklon: 38,5°
VstupnĂ­ rychlost: 57,7 km/s
Rektascenze radiantu: 10:15 (153,9°)
Deklinace radiantu: 28,3°
MeteorickĂ˝ roj: desember-leonis-minoridene
Elementy dráhy meteoroidu:
Vzdálenost v periheliu: 0,265 AU
Excentricita: 0,883
Sklon dráhy: 132,1°
Délka vzestupného uzlu: 270,1°
Argument perihelia: 303,9°
Střední anomálie: 348,7°
Epocha: 2017 DEC 21 23:27:31
orbit plot

NeinteraktivnĂ­ graf | InteraktivnĂ­ graf

position vs time
speed and acceleration