🇳🇴 🇬🇧 🇩🇪 🇨🇿 🇫🇮

Meteor, poloha: Nærbø 2017-12-24 22:09:24 UTC

Soubor KML  |  InteraktivnĂ­ mapa

Mapa zobrazuje dráhy meteoru. Světlejší čáry ukazují směry od pozorovacích stanic při objevení se meteoru a tmavší čáry, kde byl naposledy viděn. Modrá šipka značí viditelnou dráhu meteoru.

static map
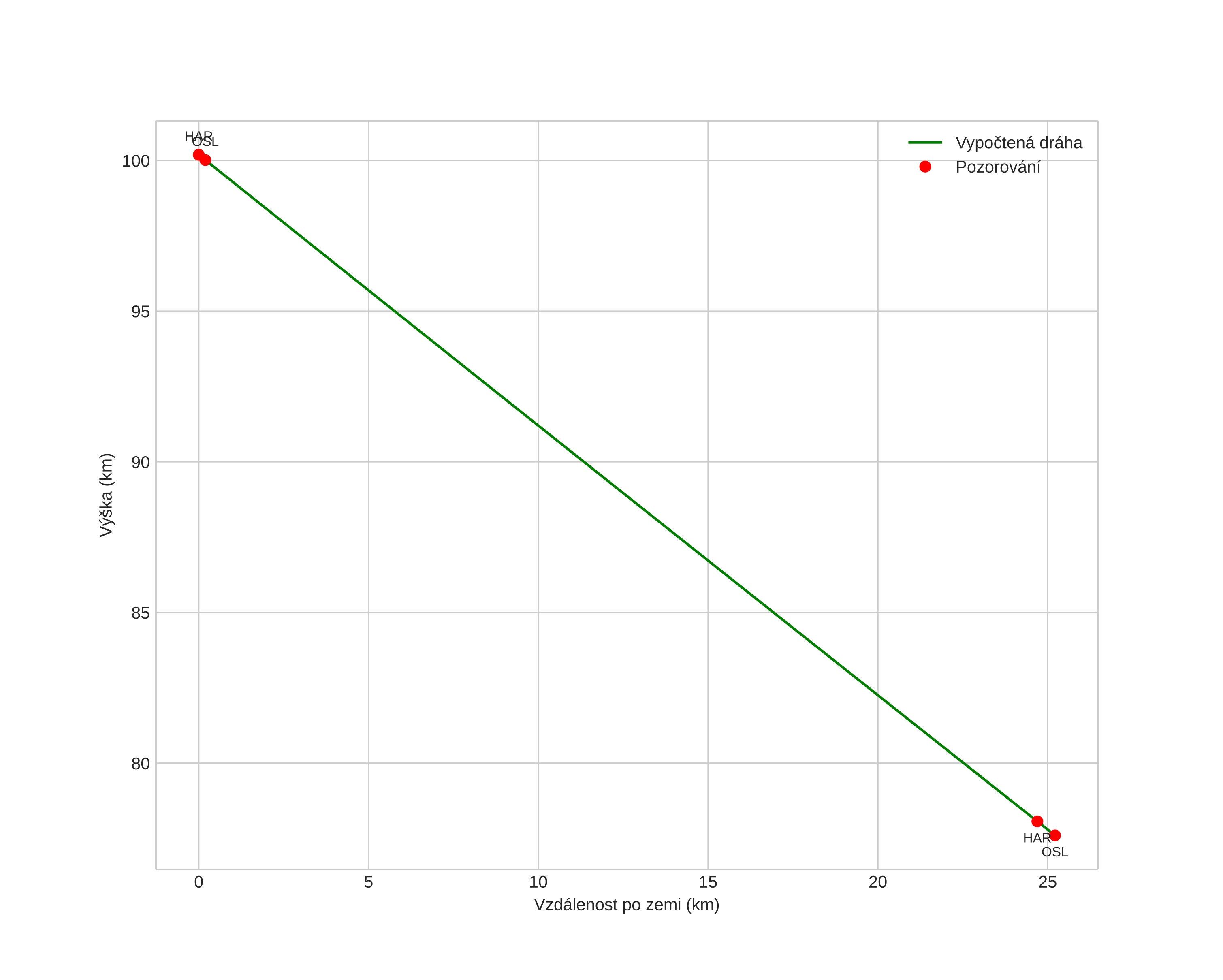
height profile
Atmosférická dráha meteoru:
Počáteční výška: 100,2 km
Konečná výška: 77,6 km
Počáteční poloha: 58,434N 5,256E
Konečná poloha: 58,349N 4,854E
Směr: 248,3°
Sklon: 41,9°
VstupnĂ­ rychlost: 54,2 km/s
Rektascenze radiantu: 10:07 (151,8°)
Deklinace radiantu: 45,3°
MeteorickĂ˝ roj: sporadickĂ˝
Elementy dráhy meteoroidu:
Vzdálenost v periheliu: 0,409 AU
Excentricita: 1,013
Sklon dráhy: 91,6°
Délka vzestupného uzlu: 273,1°
Argument perihelia: 279,2°
Střední anomálie: -0,2°
Epocha: 2017 DEC 24 22:09:24
orbit plot

NeinteraktivnĂ­ graf | InteraktivnĂ­ graf

position vs time
speed and acceleration