🇳🇴 🇬🇧 🇩🇪 🇨🇿 🇫🇮

Meteor Setermoenin yllä 2017-12-25 00:11:03 UTC

KML-tiedosto  |  Interaktiivinen kartta

Kartta näyttää meteorin suuntahavainnot. Vaaleammat viivat näyttävät suunnat havaintoasemilta meteorin ilmestyessä, ja tummemmat viivat näyttävät, missä se viimeksi nähtiin. Sininen nuoli näyttää meteorin näkyvän lennon.

static map
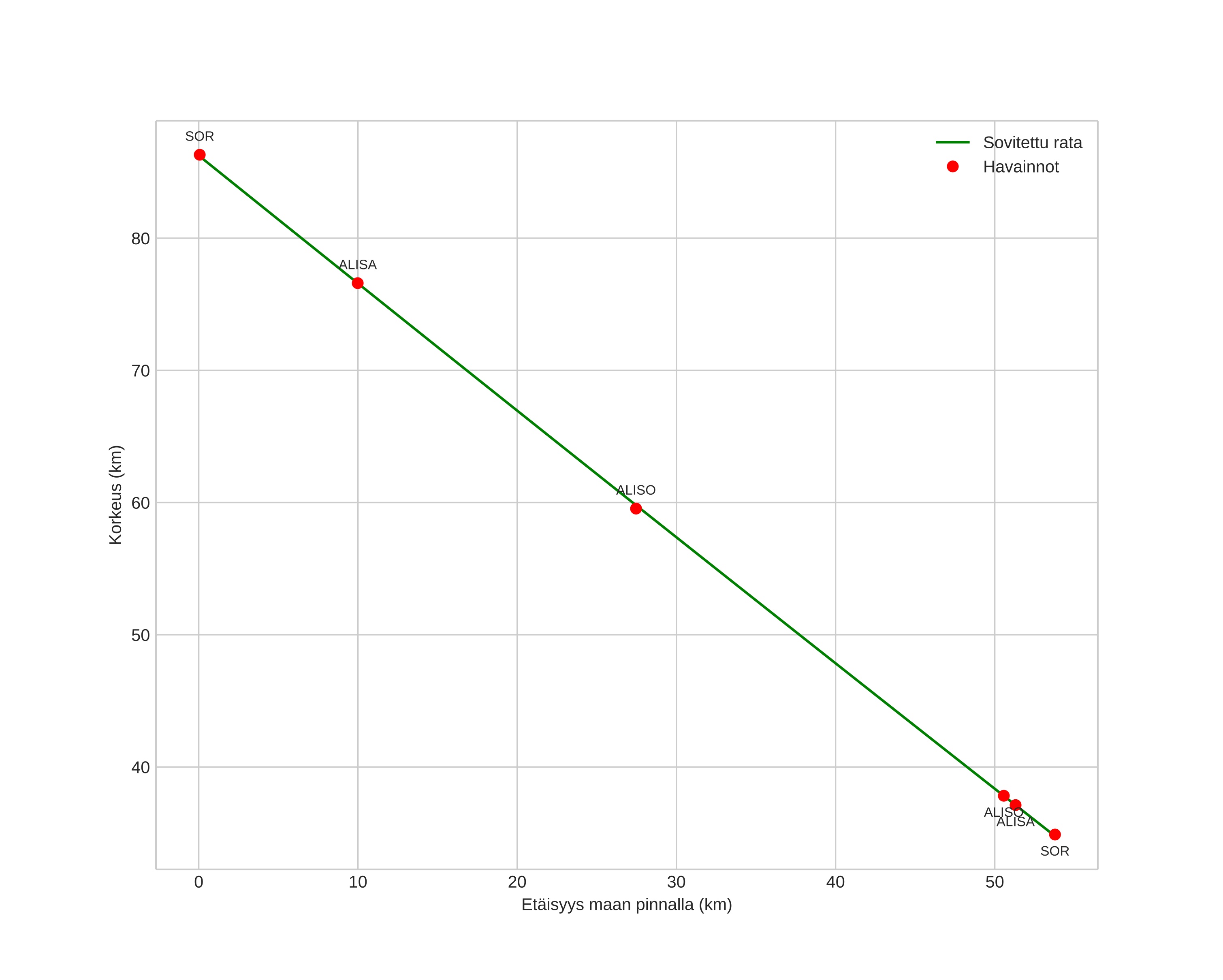
height profile
Meteorin ilmakehärata:
Alkukorkeus: 86,2 km
Loppukorkeus: 34,8 km
Alkupiste: 67,691N 18,146E
Loppupiste: 68,043N 19,024E
Suunta: 42,8°
Kallistuskulma: 43,7°
Tulonopeus: 19,0 km/s
Radiantin R,A,: 05:16 (79,1°)
Radiantin Dekl,: 20,9°
Meteoriparvi: Sporadinen
Meteoroidin rataelementit:
Perihelietäisyys: 0,766 AU
Eksentrisyys: 0,631
Inklinaatio: 1,0°
Nousevan solmun pituus: 93,3°
Perihelin argumentti: 64,5°
Keskianomalia: 346,4°
Epookki: 2017 DEC 25 00:11:03
orbit plot

Ei-interaktiivinen kuvaaja | Interaktiivinen kuvaaja

position vs time
speed and acceleration