🇳🇴 🇬🇧 🇩🇪 🇨🇿 🇫🇮

Meteor, poloha: Ă–verkalix 2017-12-27 17:36:56 UTC

Soubor KML  |  InteraktivnĂ­ mapa

Mapa zobrazuje dráhy meteoru. Světlejší čáry ukazují směry od pozorovacích stanic při objevení se meteoru a tmavší čáry, kde byl naposledy viděn. Modrá šipka značí viditelnou dráhu meteoru.

static map
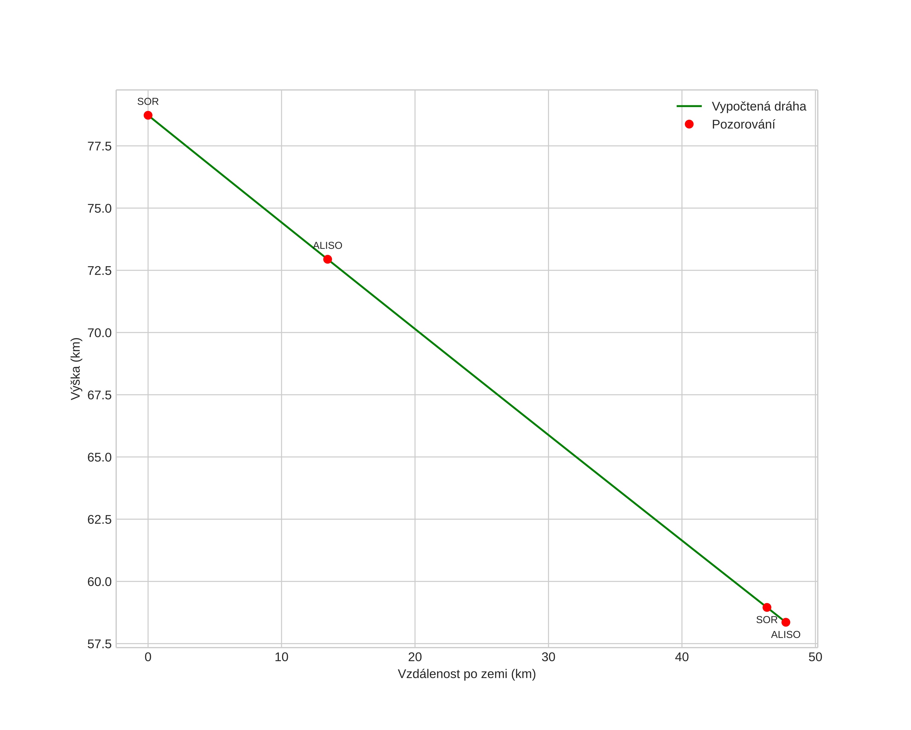
height profile
Atmosférická dráha meteoru:
Počáteční výška: 78,7 km
Konečná výška: 58,4 km
Počáteční poloha: 66,771N 23,650E
Konečná poloha: 66,399N 23,107E
Směr: 210,3°
Sklon: 23,0°
VstupnĂ­ rychlost: 18,5 km/s
Rektascenze radiantu: 11:13 (168,3°)
Deklinace radiantu: 34,4°
MeteorickĂ˝ roj: sporadickĂ˝
Elementy dráhy meteoroidu:
Vzdálenost v periheliu: 0,282 AU
Excentricita: 0,571
Sklon dráhy: 19,3°
Délka vzestupného uzlu: 275,9°
Argument perihelia: 344,5°
Střední anomálie: 225,1°
Epocha: 2017 DEC 27 17:36:56
orbit plot

NeinteraktivnĂ­ graf | InteraktivnĂ­ graf

position vs time
speed and acceleration