🇳🇴 🇬🇧 🇩🇪 🇨🇿 🇫🇮

Meteor, poloha: Setermoen 2017-12-27 19:09:45 UTC

Soubor KML  |  InteraktivnĂ­ mapa

Mapa zobrazuje dráhy meteoru. Světlejší čáry ukazují směry od pozorovacích stanic při objevení se meteoru a tmavší čáry, kde byl naposledy viděn. Modrá šipka značí viditelnou dráhu meteoru.

static map
height profile
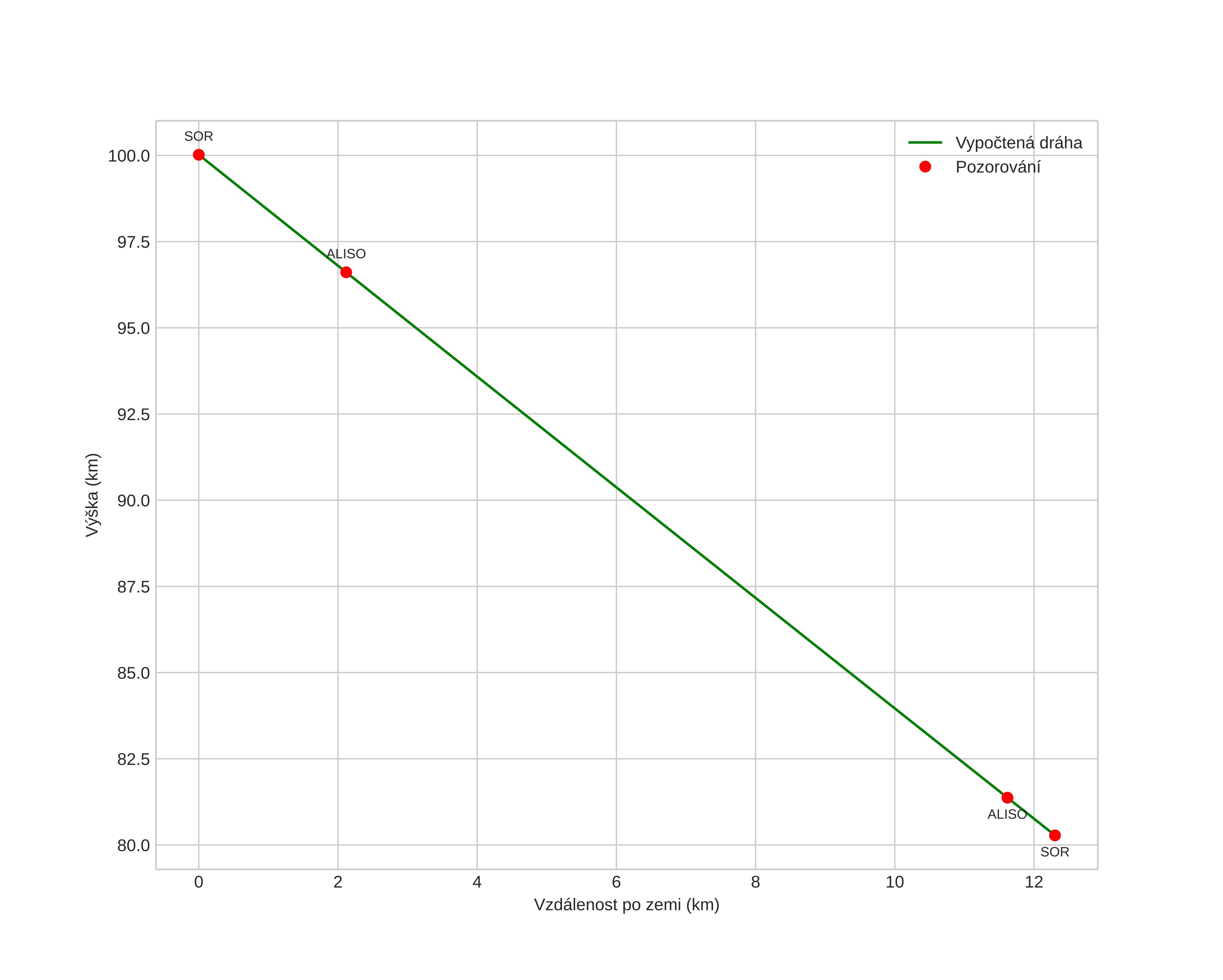
Atmosférická dráha meteoru:
Počáteční výška: 100,0 km
Konečná výška: 80,3 km
Počáteční poloha: 68,478N 19,193E
Konečná poloha: 68,441N 18,909E
Směr: 250,7°
Sklon: 58,0°
VstupnĂ­ rychlost: 37,1 km/s
Rektascenze radiantu: 07:47 (116,8°)
Deklinace radiantu: 58,2°
MeteorickĂ˝ roj: sporadickĂ˝
Elementy dráhy meteoroidu:
Vzdálenost v periheliu: 0,568 AU
Excentricita: 1,018
Sklon dráhy: 40,2°
Délka vzestupného uzlu: 276,0°
Argument perihelia: 260,6°
Střední anomálie: -0,2°
Epocha: 2017 DEC 27 19:09:45
orbit plot

NeinteraktivnĂ­ graf | InteraktivnĂ­ graf

position vs time
speed and acceleration