🇳🇴 🇬🇧 🇩🇪 🇨🇿 🇫🇮

Meteor, poloha: Myre 2018-01-05 07:14:57 UTC

Soubor KML  |  Interaktivní mapa

Mapa zobrazuje dráhy meteoru. Světlejší čáry ukazují směry od pozorovacích stanic při objevení se meteoru a tmavší čáry, kde byl naposledy viděn. Modrá šipka značí viditelnou dráhu meteoru.

static map
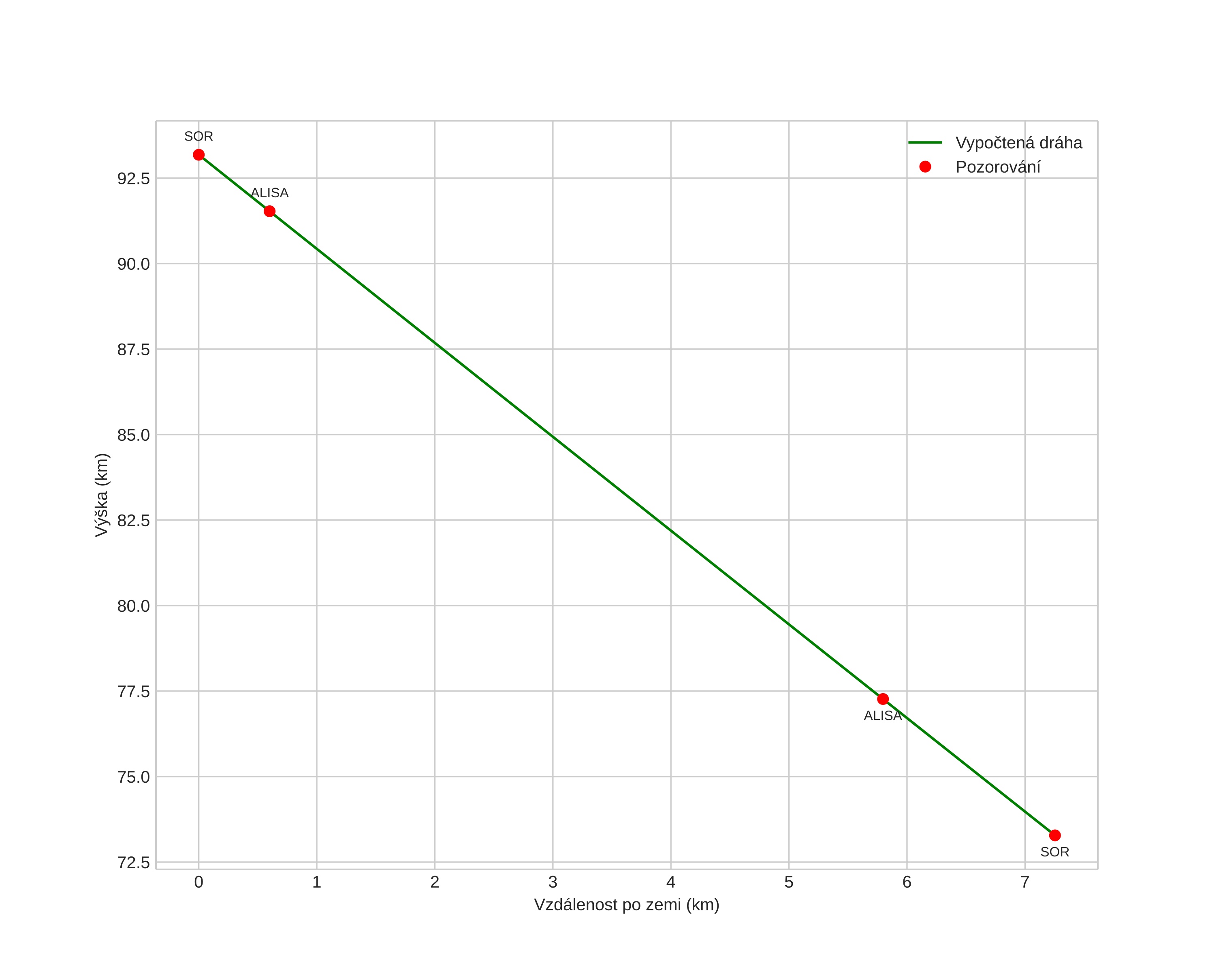
height profile
Atmosférická dráha meteoru:
Počáteční výška: 93,2 km
Konečná výška: 73,3 km
Počáteční poloha: 68,927N 15,735E
Konečná poloha: 68,992N 15,722E
Směr: 355,7°
Sklon: 70,0°
Vstupní rychlost: 44,1 km/s
Rektascenze radiantu: 15:24 (231,0°)
Deklinace radiantu: 48,6°
Meteorický roj: Kvadrantidy
Elementy dráhy meteoroidu:
Vzdálenost v periheliu: 0,978 AU
Excentricita: 0,759
Sklon dráhy: 73,6°
Délka vzestupného uzlu: 284,6°
Argument perihelia: 170,9°
Střední anomálie: 0,8°
Epocha: 2018 JAN 05 07:14:57
orbit plot

Neinteraktivní graf | Interaktivní graf

position vs time
speed and acceleration