🇳🇴 🇬🇧 🇩🇪 🇨🇿 🇫🇮

Meteor Hanstholmin yllä 2018-01-08 05:16:39 UTC

KML-tiedosto  |  Interaktiivinen kartta

Kartta näyttää meteorin suuntahavainnot. Vaaleammat viivat näyttävät suunnat havaintoasemilta meteorin ilmestyessä, ja tummemmat viivat näyttävät, missä se viimeksi nähtiin. Sininen nuoli näyttää meteorin näkyvän lennon.

static map
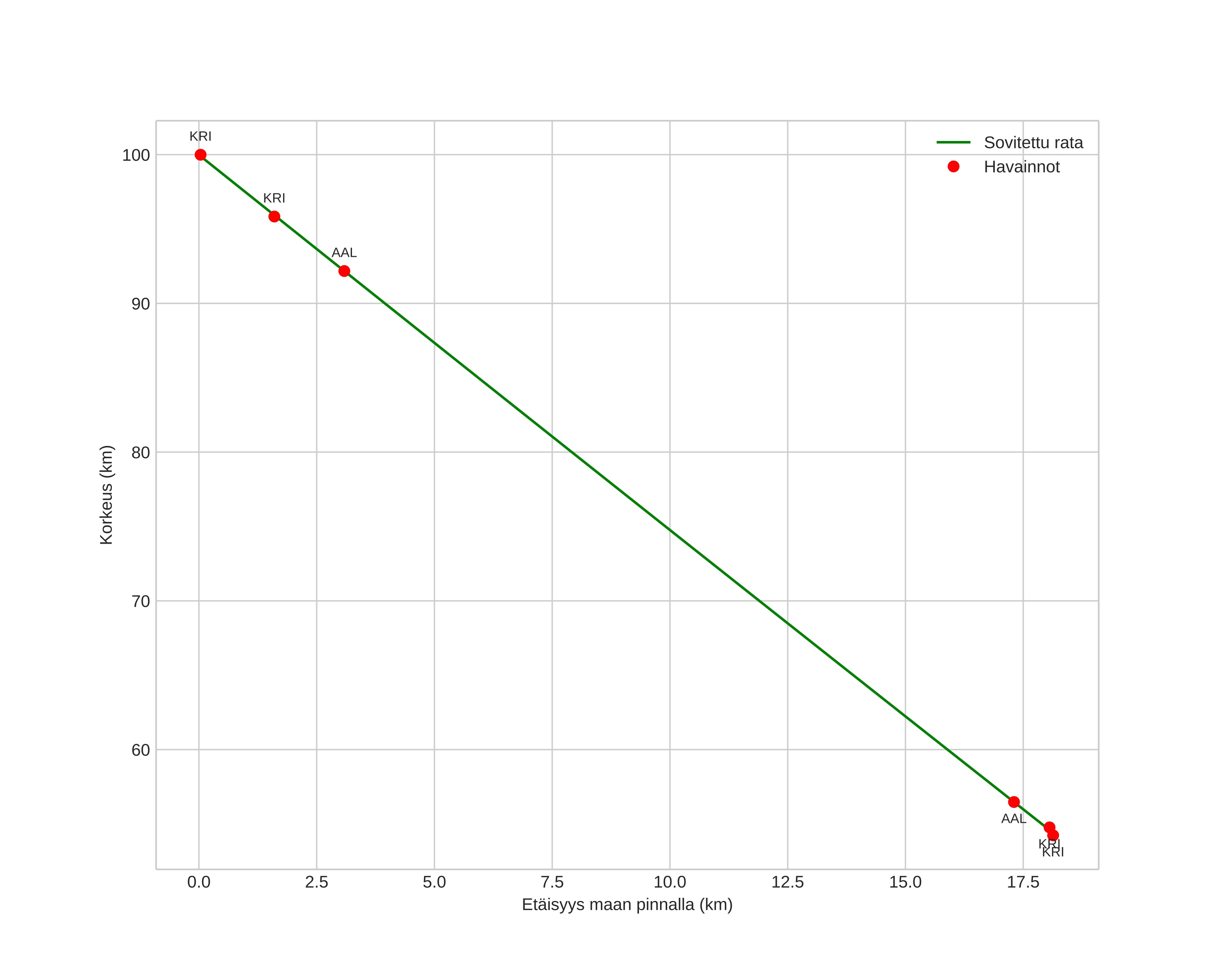
height profile
Meteorin ilmakehärata:
Alkukorkeus: 100,0 km
Loppukorkeus: 54,3 km
Alkupiste: 57,580N 9,259E
Loppupiste: 57,595N 8,955E
Suunta: 275,4°
Kallistuskulma: 68,3°
Tulonopeus: 44,3 km/s
Radiantin R,A,: 15:23 (230,8°)
Radiantin Dekl,: 49,8°
Meteoriparvi: Kvadrantidit
Meteoroidin rataelementit:
Perihelietäisyys: 0,983 AU
Eksentrisyys: 0,797
Inklinaatio: 73,2°
Nousevan solmun pituus: 287,6°
Perihelin argumentti: 176,6°
Keskianomalia: 0,2°
Epookki: 2018 JAN 08 05:16:39
orbit plot

Ei-interaktiivinen kuvaaja | Interaktiivinen kuvaaja

position vs time
speed and acceleration