🇳🇴 🇬🇧 🇩🇪 🇨🇿 🇫🇮

Meteor, poloha: Lødingen 2018-01-24 03:01:09 UTC

Soubor KML  |  InteraktivnĂ­ mapa

Mapa zobrazuje dráhy meteoru. Světlejší čáry ukazují směry od pozorovacích stanic při objevení se meteoru a tmavší čáry, kde byl naposledy viděn. Modrá šipka značí viditelnou dráhu meteoru.

static map
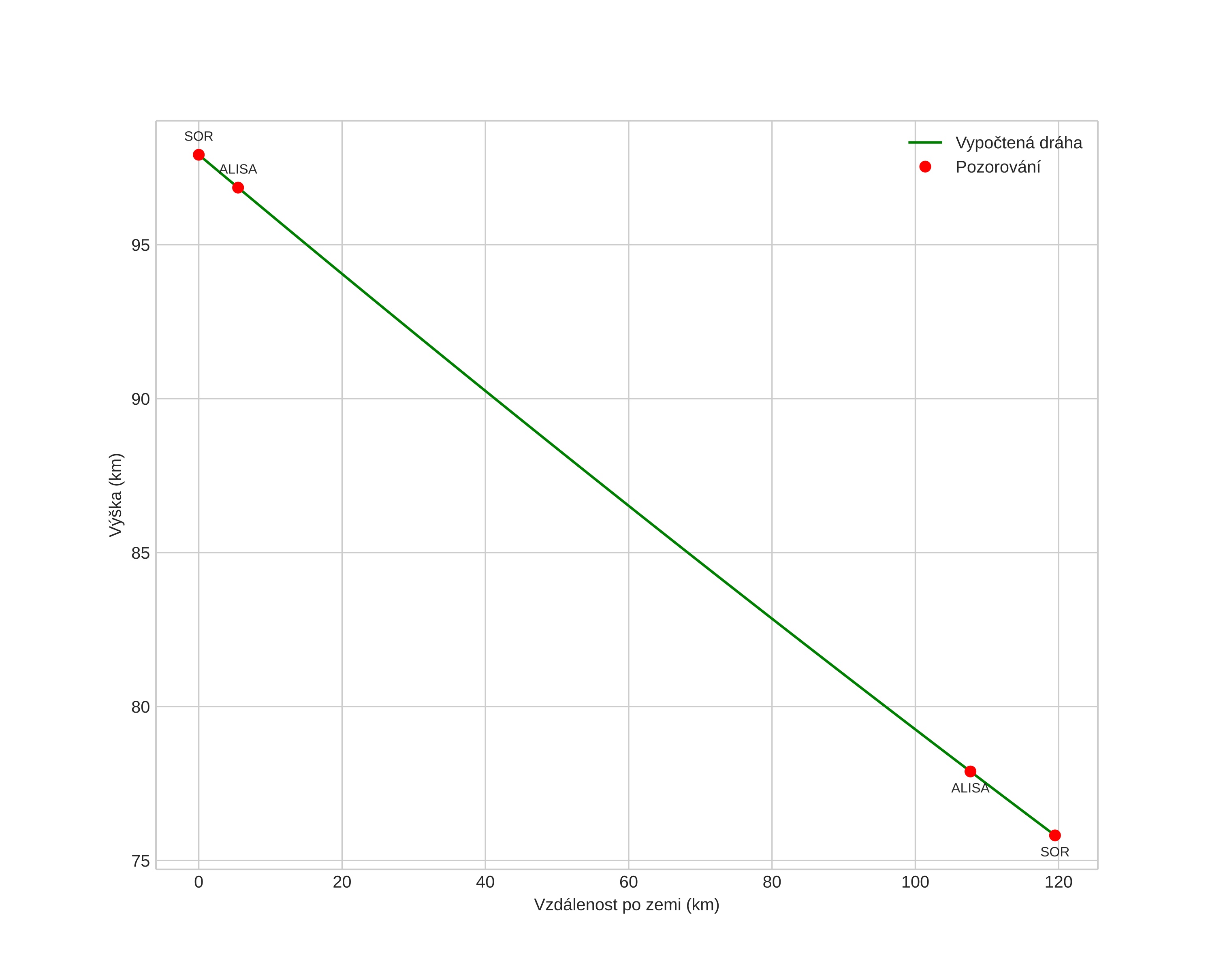
height profile
Atmosférická dráha meteoru:
Počáteční výška: 97,9 km
Konečná výška: 75,8 km
Počáteční poloha: 67,303N 16,409E
Konečná poloha: 68,376N 16,267E
Směr: 357,2°
Sklon: 10,5°
VstupnĂ­ rychlost: 65,9 km/s
Rektascenze radiantu: 12:29 (187,4°)
Deklinace radiantu: -12,8°
MeteorickĂ˝ roj: sporadickĂ˝
Elementy dráhy meteoroidu:
Vzdálenost v periheliu: 0,574 AU
Excentricita: 0,818
Sklon dráhy: 161,3°
Délka vzestupného uzlu: 123,8°
Argument perihelia: 85,8°
Střední anomálie: 352,6°
Epocha: 2018 JAN 24 03:01:09
orbit plot

NeinteraktivnĂ­ graf | InteraktivnĂ­ graf

position vs time
speed and acceleration