🇳🇴 🇬🇧 🇩🇪 🇨🇿 🇫🇮

Meteor, poloha: Hvittingfoss 2018-01-26 20:33:57 UTC

Soubor KML  |  InteraktivnĂ­ mapa

Mapa zobrazuje dráhy meteoru. Světlejší čáry ukazují směry od pozorovacích stanic při objevení se meteoru a tmavší čáry, kde byl naposledy viděn. Modrá šipka značí viditelnou dráhu meteoru.

static map
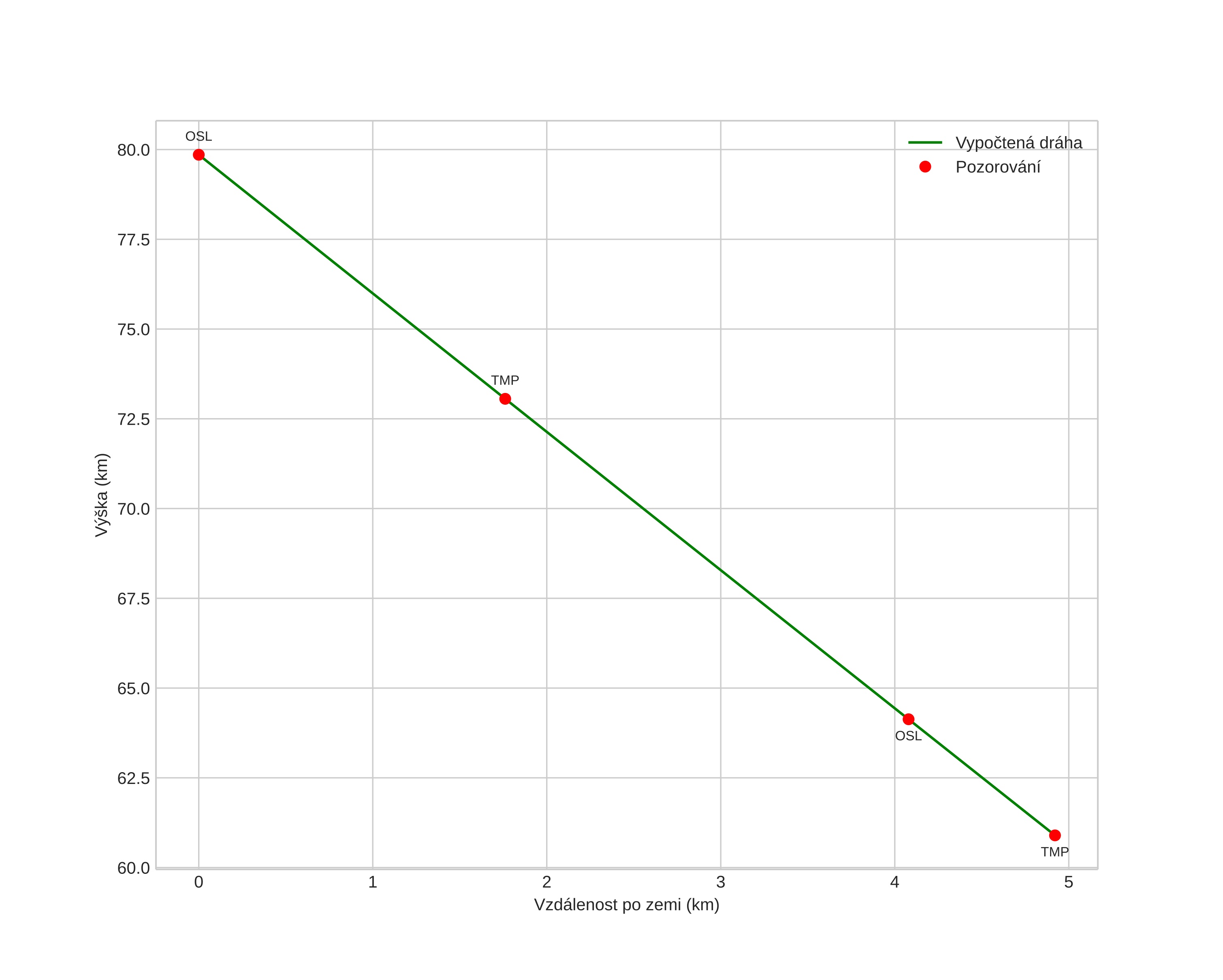
height profile
Atmosférická dráha meteoru:
Počáteční výška: 79,9 km
Konečná výška: 60,9 km
Počáteční poloha: 59,561N 9,866E
Konečná poloha: 59,562N 9,953E
Směr: 89,1°
Sklon: 75,5°
VstupnĂ­ rychlost: 13,7 km/s
Rektascenze radiantu: 03:17 (49,4°)
Deklinace radiantu: 53,9°
MeteorickĂ˝ roj: sporadickĂ˝
Elementy dráhy meteoroidu:
Vzdálenost v periheliu: 0,977 AU
Excentricita: 0,493
Sklon dráhy: 7,1°
Délka vzestupného uzlu: 306,6°
Argument perihelia: 192,9°
Střední anomálie: 356,2°
Epocha: 2018 JAN 26 20:33:57
orbit plot

NeinteraktivnĂ­ graf | InteraktivnĂ­ graf

position vs time
speed and acceleration