🇳🇴 🇬🇧 🇩🇪 🇨🇿 🇫🇮

Meteor, poloha: Arjeplog 2018-01-26 23:15:08 UTC

Soubor KML  |  InteraktivnĂ­ mapa

Mapa zobrazuje dráhy meteoru. Světlejší čáry ukazují směry od pozorovacích stanic při objevení se meteoru a tmavší čáry, kde byl naposledy viděn. Modrá šipka značí viditelnou dráhu meteoru.

static map
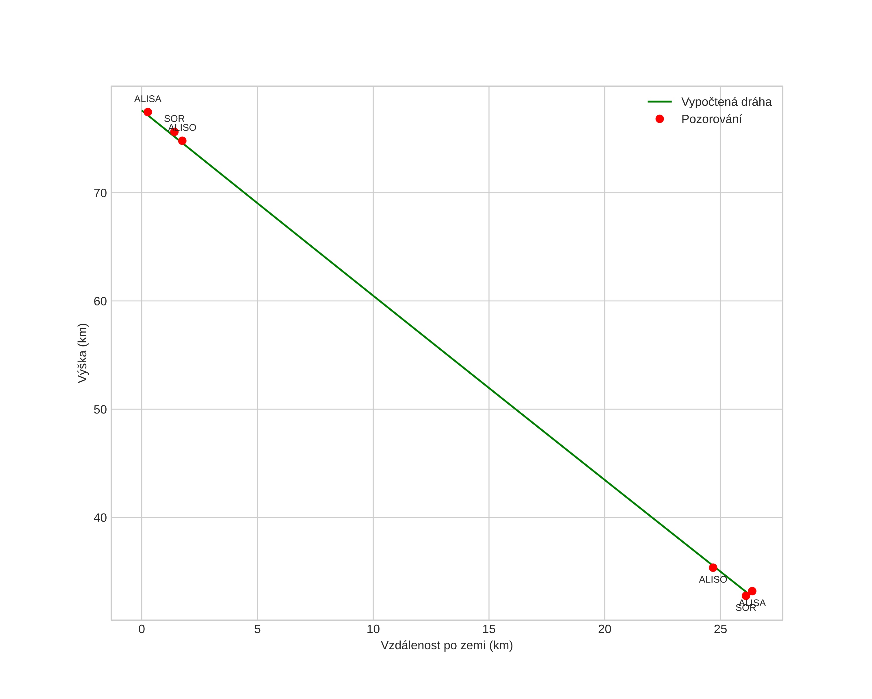
height profile
Atmosférická dráha meteoru:
Počáteční výška: 77,6 km
Konečná výška: 32,9 km
Počáteční poloha: 66,961N 17,947E
Konečná poloha: 67,035N 17,373E
Směr: 288,6°
Sklon: 59,6°
VstupnĂ­ rychlost: 18,8 km/s
Rektascenze radiantu: 11:56 (179,1°)
Deklinace radiantu: 44,4°
MeteorickĂ˝ roj: sporadickĂ˝
Elementy dráhy meteoroidu:
Vzdálenost v periheliu: 0,539 AU
Excentricita: 0,374
Sklon dráhy: 21,6°
Délka vzestupného uzlu: 306,7°
Argument perihelia: 311,4°
Střední anomálie: 267,5°
Epocha: 2018 JAN 26 23:15:08
orbit plot

NeinteraktivnĂ­ graf | InteraktivnĂ­ graf

position vs time
speed and acceleration