🇳🇴 🇬🇧 🇩🇪 🇨🇿 🇫🇮

Meteor, poloha: Ellös 2018-01-27 02:41:12 UTC

Soubor KML  |  InteraktivnĂ­ mapa

Mapa zobrazuje dráhy meteoru. Světlejší čáry ukazují směry od pozorovacích stanic při objevení se meteoru a tmavší čáry, kde byl naposledy viděn. Modrá šipka značí viditelnou dráhu meteoru.

static map
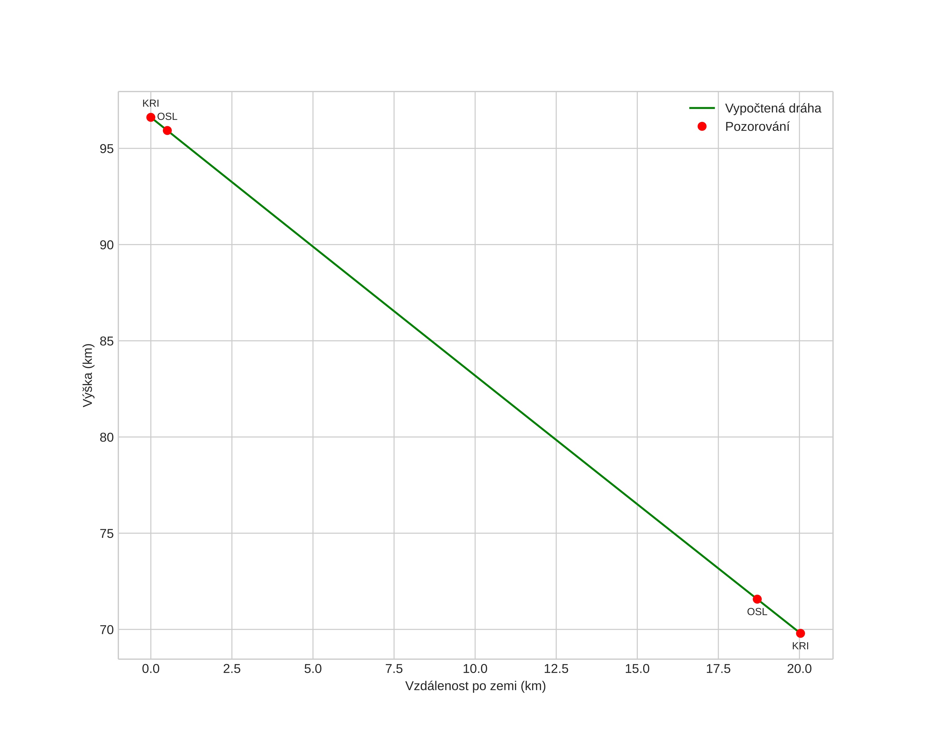
height profile
Atmosférická dráha meteoru:
Počáteční výška: 96,6 km
Konečná výška: 69,8 km
Počáteční poloha: 58,073N 11,618E
Konečná poloha: 58,001N 11,306E
Směr: 246,7°
Sklon: 53,2°
VstupnĂ­ rychlost: 35,8 km/s
Rektascenze radiantu: 16:27 (247,0°)
Deklinace radiantu: 53,3°
MeteorickĂ˝ roj: sporadickĂ˝
Elementy dráhy meteoroidu:
Vzdálenost v periheliu: 0,984 AU
Excentricita: 0,612
Sklon dráhy: 58,1°
Délka vzestupného uzlu: 306,9°
Argument perihelia: 178,2°
Střední anomálie: 0,3°
Epocha: 2018 JAN 27 02:41:12
orbit plot

NeinteraktivnĂ­ graf | InteraktivnĂ­ graf

position vs time
speed and acceleration