🇳🇴 🇬🇧 🇩🇪 🇨🇿 🇫🇮

Meteor, poloha: Sortland 2018-01-27 20:14:33 UTC

Soubor KML  |  InteraktivnĂ­ mapa

Mapa zobrazuje dráhy meteoru. Světlejší čáry ukazují směry od pozorovacích stanic při objevení se meteoru a tmavší čáry, kde byl naposledy viděn. Modrá šipka značí viditelnou dráhu meteoru.

static map
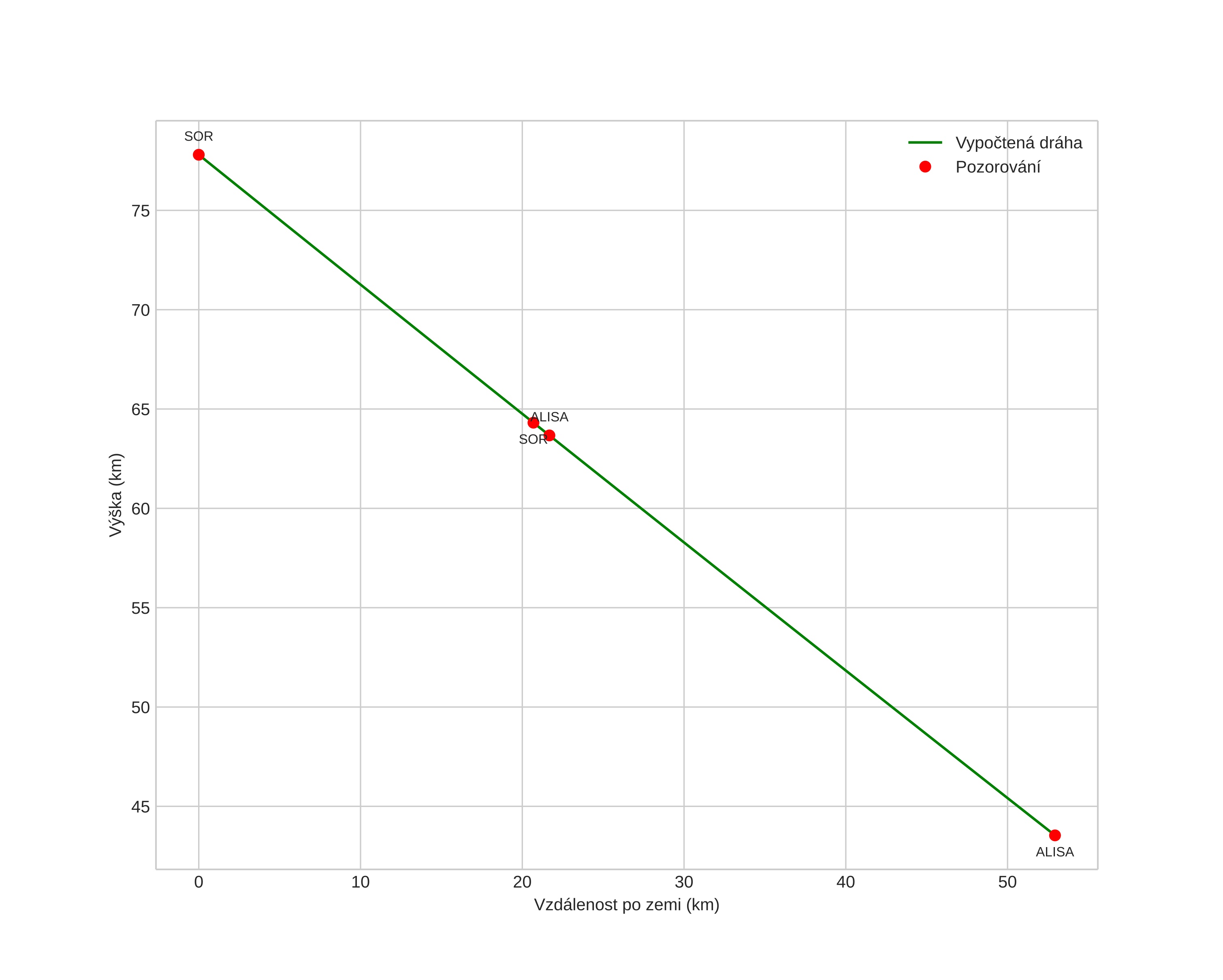
height profile
Atmosférická dráha meteoru:
Počáteční výška: 77,8 km
Konečná výška: 43,5 km
Počáteční poloha: 68,469N 14,811E
Konečná poloha: 68,868N 15,523E
Směr: 32,6°
Sklon: 32,9°
VstupnĂ­ rychlost: 23,9 km/s
Rektascenze radiantu: 03:44 (56,2°)
Deklinace radiantu: 10,4°
MeteorickĂ˝ roj: sporadickĂ˝
Elementy dráhy meteoroidu:
Vzdálenost v periheliu: 0,972 AU
Excentricita: 1,834
Sklon dráhy: 3,9°
Délka vzestupného uzlu: 127,6°
Argument perihelia: 11,4°
Střední anomálie: -5,2°
Epocha: 2018 JAN 27 20:14:33
orbit plot

NeinteraktivnĂ­ graf | InteraktivnĂ­ graf

position vs time
speed and acceleration