🇳🇴 🇬🇧 🇩🇪 🇨🇿 🇫🇮

Meteor, poloha: Leinesfjorden 2018-01-28 19:18:42 UTC

Soubor KML  |  InteraktivnĂ­ mapa

Mapa zobrazuje dráhy meteoru. Světlejší čáry ukazují směry od pozorovacích stanic při objevení se meteoru a tmavší čáry, kde byl naposledy viděn. Modrá šipka značí viditelnou dráhu meteoru.

static map
height profile
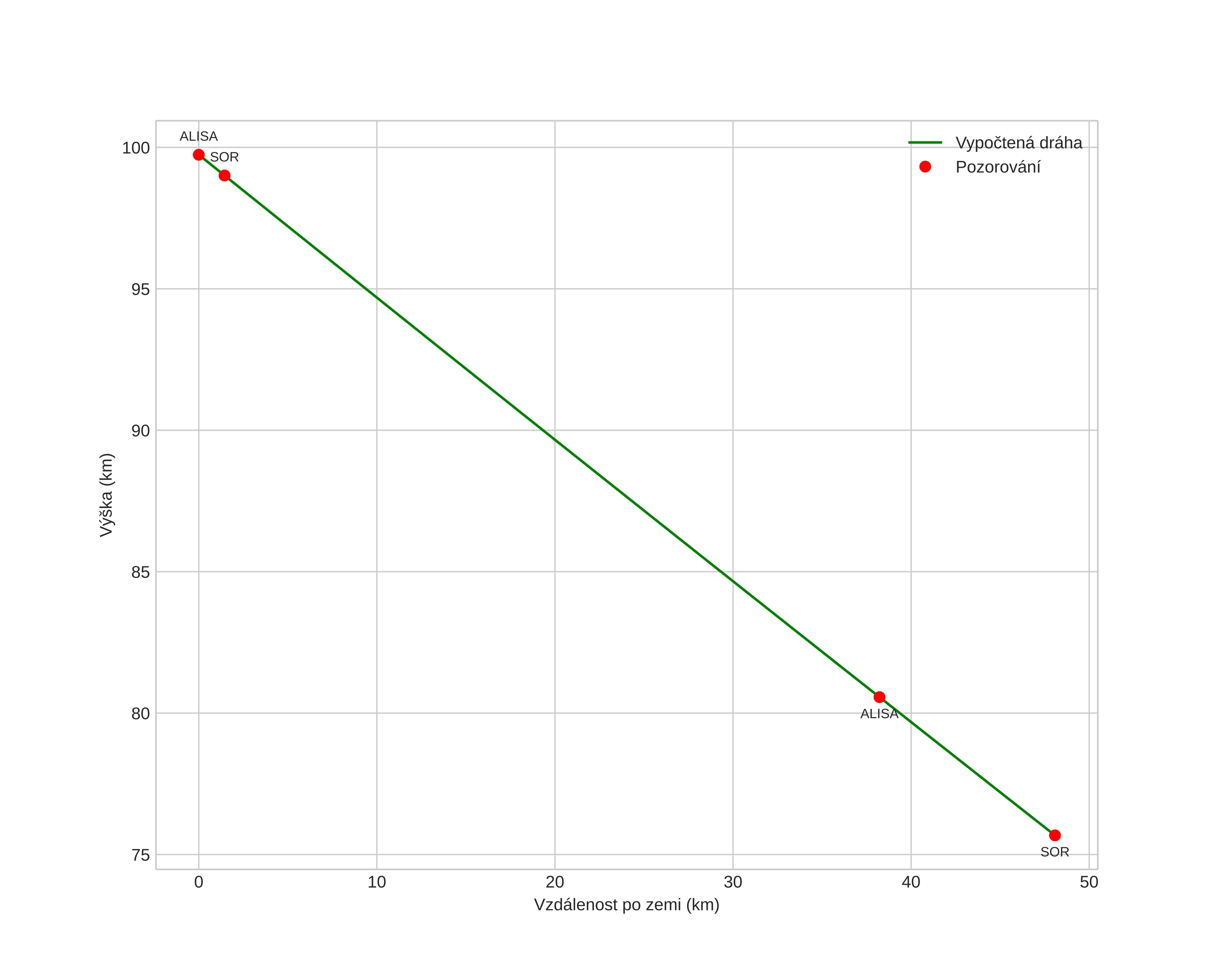
Atmosférická dráha meteoru:
Počáteční výška: 99,7 km
Konečná výška: 75,7 km
Počáteční poloha: 68,065N 15,988E
Konečná poloha: 67,983N 14,854E
Směr: 259,5°
Sklon: 26,5°
VstupnĂ­ rychlost: 46,2 km/s
Rektascenze radiantu: 10:51 (162,8°)
Deklinace radiantu: 27,6°
MeteorickĂ˝ roj: sporadickĂ˝
Elementy dráhy meteoroidu:
Vzdálenost v periheliu: 0,197 AU
Excentricita: 1,004
Sklon dráhy: 48,8°
Délka vzestupného uzlu: 308,6°
Argument perihelia: 306,6°
Střední anomálie: -0,1°
Epocha: 2018 JAN 28 19:18:42
orbit plot

NeinteraktivnĂ­ graf | InteraktivnĂ­ graf

position vs time
speed and acceleration