🇳🇴 🇬🇧 🇩🇪 🇨🇿 🇫🇮

Meteor, poloha: Kyrkjebygda 2018-02-02 04:35:30 UTC

Soubor KML  |  InteraktivnĂ­ mapa

Mapa zobrazuje dráhy meteoru. Světlejší čáry ukazují směry od pozorovacích stanic při objevení se meteoru a tmavší čáry, kde byl naposledy viděn. Modrá šipka značí viditelnou dráhu meteoru.

static map
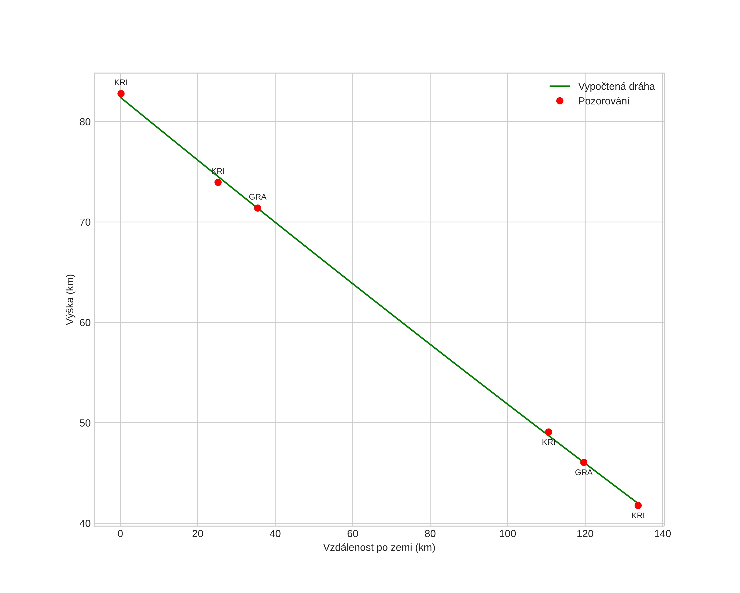
height profile
Atmosférická dráha meteoru:
Počáteční výška: 82,4 km
Konečná výška: 42,0 km
Počáteční poloha: 58,625N 5,034E
Konečná poloha: 58,734N 7,338E
Směr: 83,8°
Sklon: 16,8°
VstupnĂ­ rychlost: 19,0 km/s
Rektascenze radiantu: 08:21 (125,3°)
Deklinace radiantu: 3,7°
MeteorickĂ˝ roj: sporadickĂ˝
Elementy dráhy meteoroidu:
Vzdálenost v periheliu: 0,730 AU
Excentricita: 0,550
Sklon dráhy: 7,4°
Délka vzestupného uzlu: 133,0°
Argument perihelia: 74,4°
Střední anomálie: 337,6°
Epocha: 2018 FEB 02 04:35:30
orbit plot

NeinteraktivnĂ­ graf | InteraktivnĂ­ graf

position vs time
speed and acceleration