🇳🇴 🇬🇧 🇩🇪 🇨🇿 🇫🇮

Meteor, poloha: Kragerø 2018-02-07 22:54:04 UTC

Soubor KML  |  InteraktivnĂ­ mapa

Mapa zobrazuje dráhy meteoru. Světlejší čáry ukazují směry od pozorovacích stanic při objevení se meteoru a tmavší čáry, kde byl naposledy viděn. Modrá šipka značí viditelnou dráhu meteoru.

static map
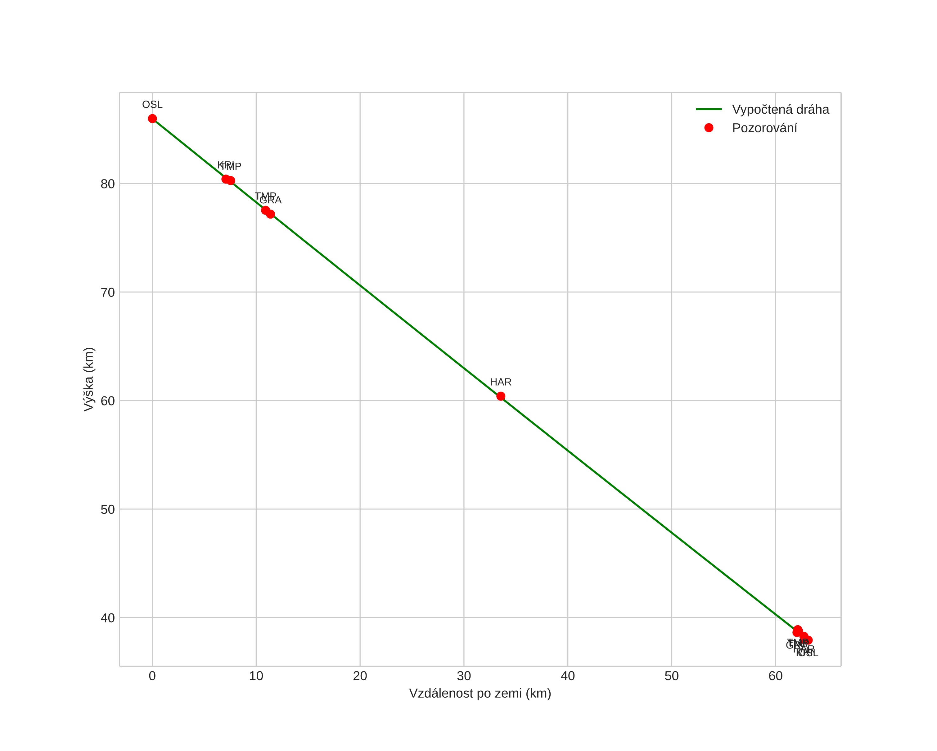
height profile
Atmosférická dráha meteoru:
Počáteční výška: 86,0 km
Konečná výška: 37,9 km
Počáteční poloha: 58,166N 9,313E
Konečná poloha: 58,732N 9,396E
Směr: 4,3°
Sklon: 37,3°
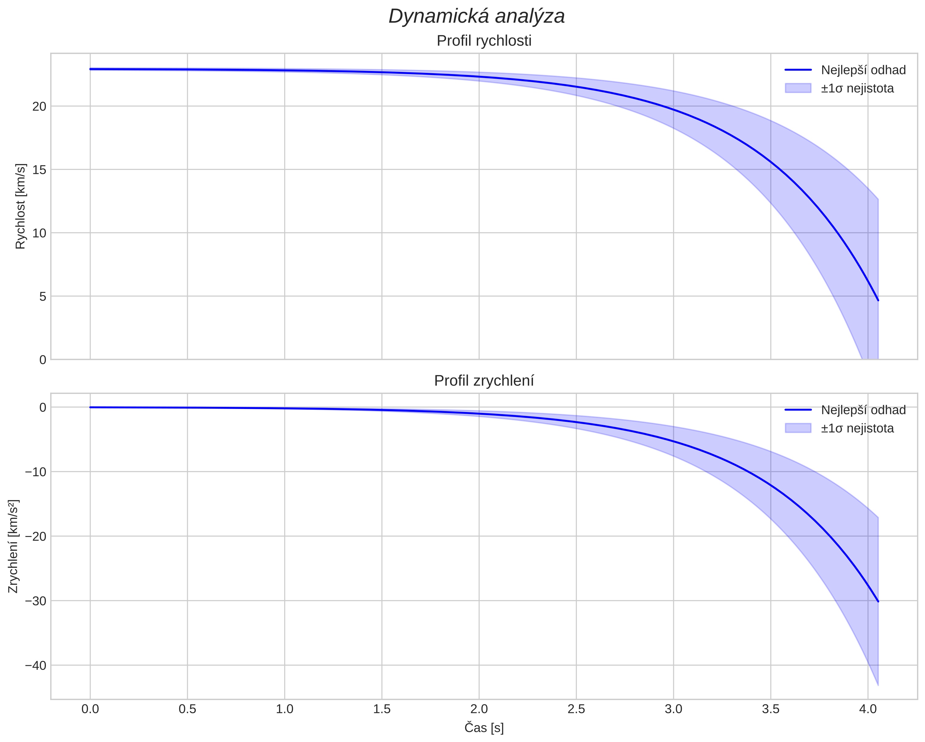
VstupnĂ­ rychlost: 22,9 km/s
Rektascenze radiantu: 08:25 (126,3°)
Deklinace radiantu: 1,8°
MeteorickĂ˝ roj: sporadickĂ˝
Elementy dráhy meteoroidu:
Vzdálenost v periheliu: 0,727 AU
Excentricita: 0,769
Sklon dráhy: 9,9°
Délka vzestupného uzlu: 138,9°
Argument perihelia: 66,7°
Střední anomálie: 353,1°
Epocha: 2018 FEB 07 22:54:04
orbit plot

NeinteraktivnĂ­ graf | InteraktivnĂ­ graf

position vs time
speed and acceleration