🇳🇴 🇬🇧 🇩🇪 🇨🇿 🇫🇮

Meteor, poloha: Farsund 2018-02-13 00:26:32 UTC

Soubor KML  |  InteraktivnĂ­ mapa

Mapa zobrazuje dráhy meteoru. Světlejší čáry ukazují směry od pozorovacích stanic při objevení se meteoru a tmavší čáry, kde byl naposledy viděn. Modrá šipka značí viditelnou dráhu meteoru.

static map
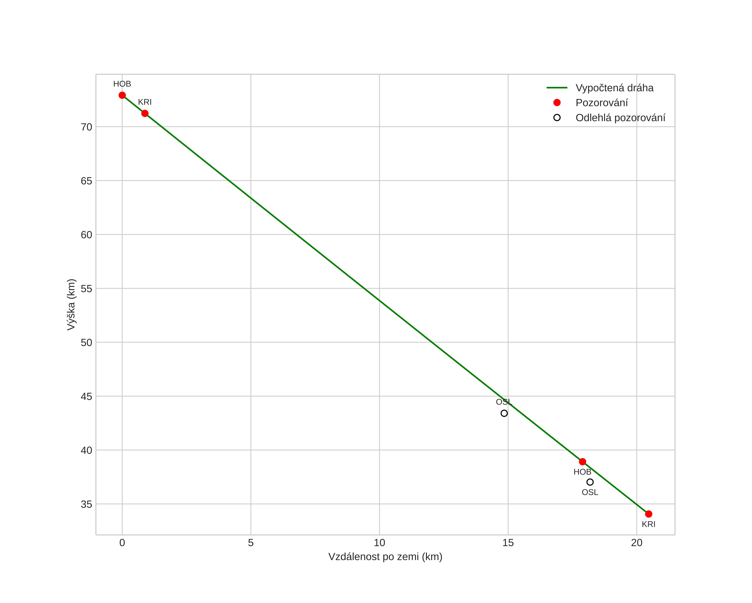
height profile
Atmosférická dráha meteoru:
Počáteční výška: 72,9 km
Konečná výška: 34,1 km
Počáteční poloha: 57,454N 6,866E
Konečná poloha: 57,630N 6,964E
Směr: 16,4°
Sklon: 62,2°
VstupnĂ­ rychlost: 19,8 km/s
Rektascenze radiantu: 09:43 (146,0°)
Deklinace radiantu: 27,6°
MeteorickĂ˝ roj: sporadickĂ˝
Elementy dráhy meteoroidu:
Vzdálenost v periheliu: 0,709 AU
Excentricita: 0,568
Sklon dráhy: 6,8°
Délka vzestupného uzlu: 324,0°
Argument perihelia: 257,3°
Střední anomálie: 337,7°
Epocha: 2018 FEB 13 00:26:32
orbit plot

NeinteraktivnĂ­ graf | InteraktivnĂ­ graf

position vs time
speed and acceleration