🇳🇴 🇬🇧 🇩🇪 🇨🇿 🇫🇮

Meteor, poloha: Eidfjord 2018-02-25 18:57:00 UTC

Soubor KML  |  InteraktivnĂ­ mapa

Mapa zobrazuje dráhy meteoru. Světlejší čáry ukazují směry od pozorovacích stanic při objevení se meteoru a tmavší čáry, kde byl naposledy viděn. Modrá šipka značí viditelnou dráhu meteoru.

static map
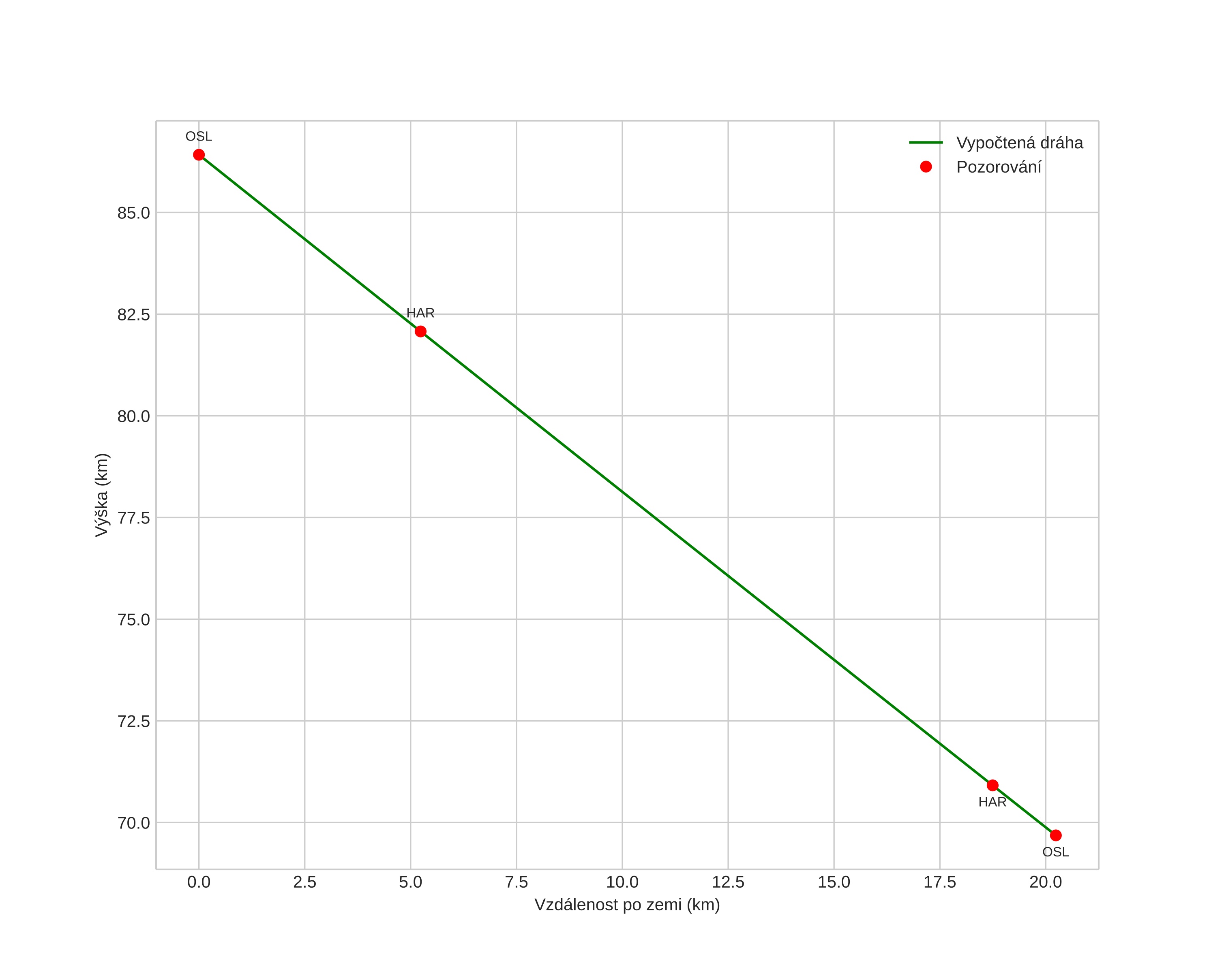
height profile
Atmosférická dráha meteoru:
Počáteční výška: 86,4 km
Konečná výška: 69,7 km
Počáteční poloha: 60,573N 6,674E
Konečná poloha: 60,472N 6,983E
Směr: 123,3°
Sklon: 39,5°
VstupnĂ­ rychlost: 19,9 km/s
Rektascenze radiantu: 23:07 (347,0°)
Deklinace radiantu: 45,1°
MeteorickĂ˝ roj: sporadickĂ˝
Elementy dráhy meteoroidu:
Vzdálenost v periheliu: 0,918 AU
Excentricita: 0,786
Sklon dráhy: 18,0°
Délka vzestupného uzlu: 336,9°
Argument perihelia: 146,7°
Střední anomálie: 2,6°
Epocha: 2018 FEB 25 18:57:00
orbit plot

NeinteraktivnĂ­ graf | InteraktivnĂ­ graf

position vs time
speed and acceleration