🇳🇴 🇬🇧 🇩🇪 🇨🇿 🇫🇮

Meteor, poloha: Moldjord 2018-03-04 22:05:31 UTC

Soubor KML  |  InteraktivnĂ­ mapa

Mapa zobrazuje dráhy meteoru. Světlejší čáry ukazují směry od pozorovacích stanic při objevení se meteoru a tmavší čáry, kde byl naposledy viděn. Modrá šipka značí viditelnou dráhu meteoru.

static map
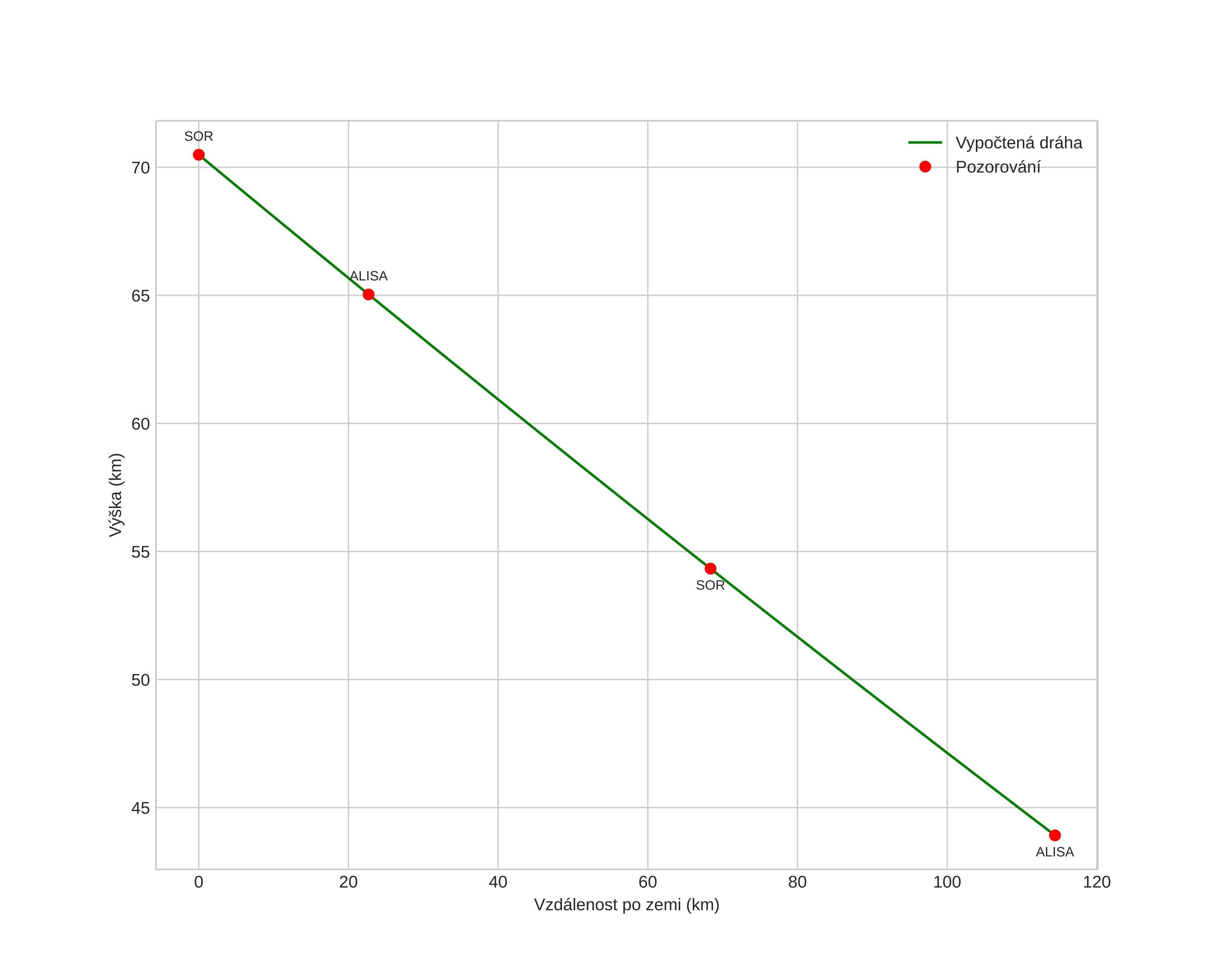
height profile
Atmosférická dráha meteoru:
Počáteční výška: 70,5 km
Konečná výška: 43,9 km
Počáteční poloha: 67,483N 16,450E
Konečná poloha: 66,649N 14,907E
Směr: 216,5°
Sklon: 13,1°
VstupnĂ­ rychlost: 48,8 km/s
Rektascenze radiantu: 19:13 (288,4°)
Deklinace radiantu: 29,5°
MeteorickĂ˝ roj: sporadickĂ˝
Elementy dráhy meteoroidu:
Vzdálenost v periheliu: 0,775 AU
Excentricita: 1,050
Sklon dráhy: 77,8°
Délka vzestupného uzlu: 344,0°
Argument perihelia: 124,9°
Střední anomálie: 0,5°
Epocha: 2018 MAR 04 22:05:31
orbit plot

NeinteraktivnĂ­ graf | InteraktivnĂ­ graf

position vs time
speed and acceleration