🇳🇴 🇬🇧 🇩🇪 🇨🇿 🇫🇮

Meteor Nordstrandan yllä 2018-03-14 01:47:51 UTC

KML-tiedosto  |  Interaktiivinen kartta

Kartta näyttää meteorin suuntahavainnot. Vaaleammat viivat näyttävät suunnat havaintoasemilta meteorin ilmestyessä, ja tummemmat viivat näyttävät, missä se viimeksi nähtiin. Sininen nuoli näyttää meteorin näkyvän lennon.

static map
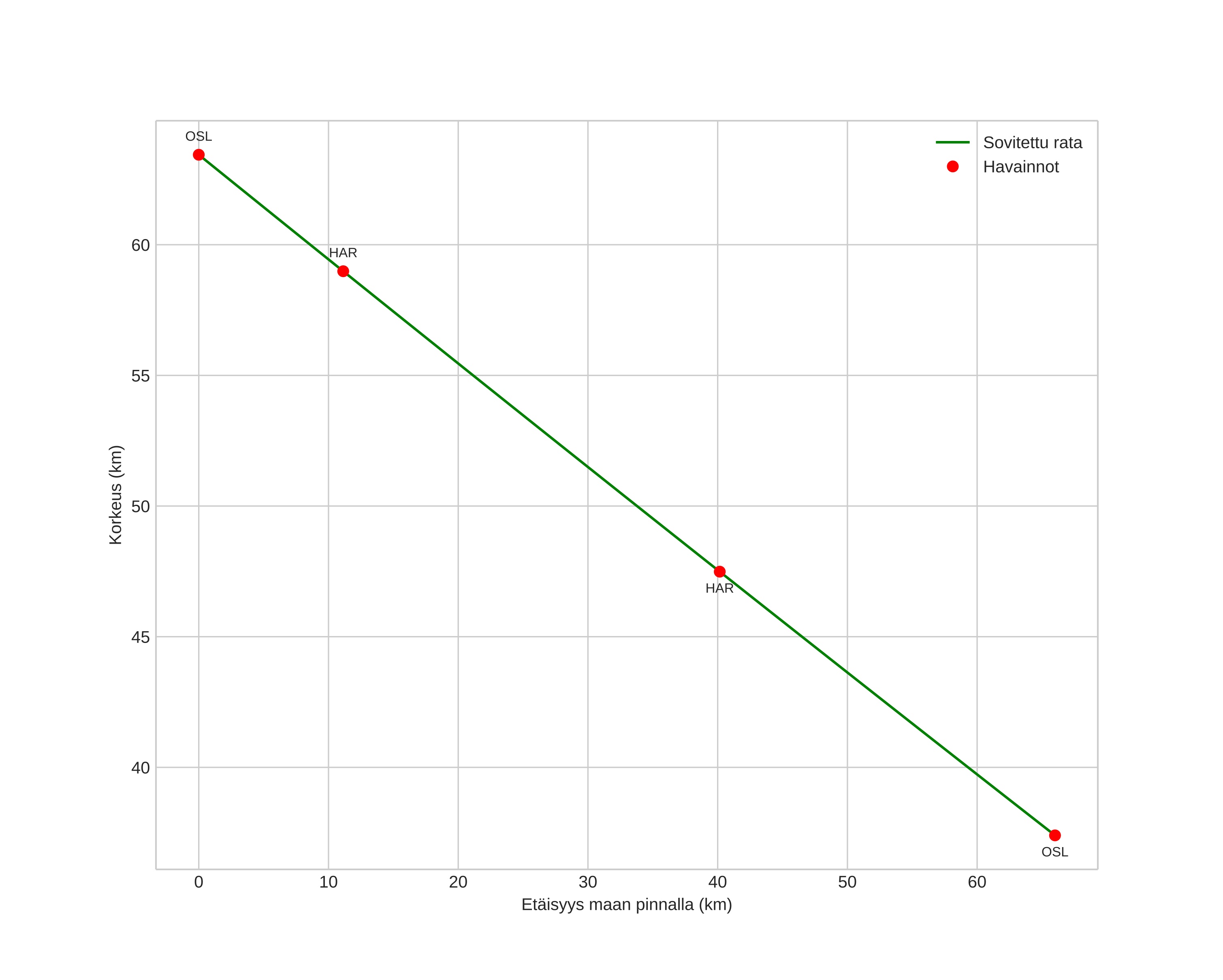
height profile
Meteorin ilmakehärata:
Alkukorkeus: 63,4 km
Loppukorkeus: 37,4 km
Alkupiste: 62,420N 5,695E
Loppupiste: 63,013N 5,744E
Suunta: 2,1°
Kallistuskulma: 21,5°
Tulonopeus: 13,8 km/s
Radiantin R,A,: 13:22 (200,5°)
Radiantin Dekl,: -25,9°
Meteoriparvi: Sporadinen
Meteoroidin rataelementit:
Perihelietäisyys: 0,551 AU
Eksentrisyys: 0,317
Inklinaatio: 5,0°
Nousevan solmun pituus: 173,2°
Perihelin argumentti: 148,2°
Keskianomalia: 235,7°
Epookki: 2018 MAR 14 01:47:51
orbit plot

Ei-interaktiivinen kuvaaja | Interaktiivinen kuvaaja

position vs time
speed and acceleration