🇳🇴 🇬🇧 🇩🇪 🇨🇿 🇫🇮

Meteor, poloha: Storsteinnes 2018-03-16 01:34:12 UTC

Soubor KML  |  InteraktivnĂ­ mapa

Mapa zobrazuje dráhy meteoru. Světlejší čáry ukazují směry od pozorovacích stanic při objevení se meteoru a tmavší čáry, kde byl naposledy viděn. Modrá šipka značí viditelnou dráhu meteoru.

static map
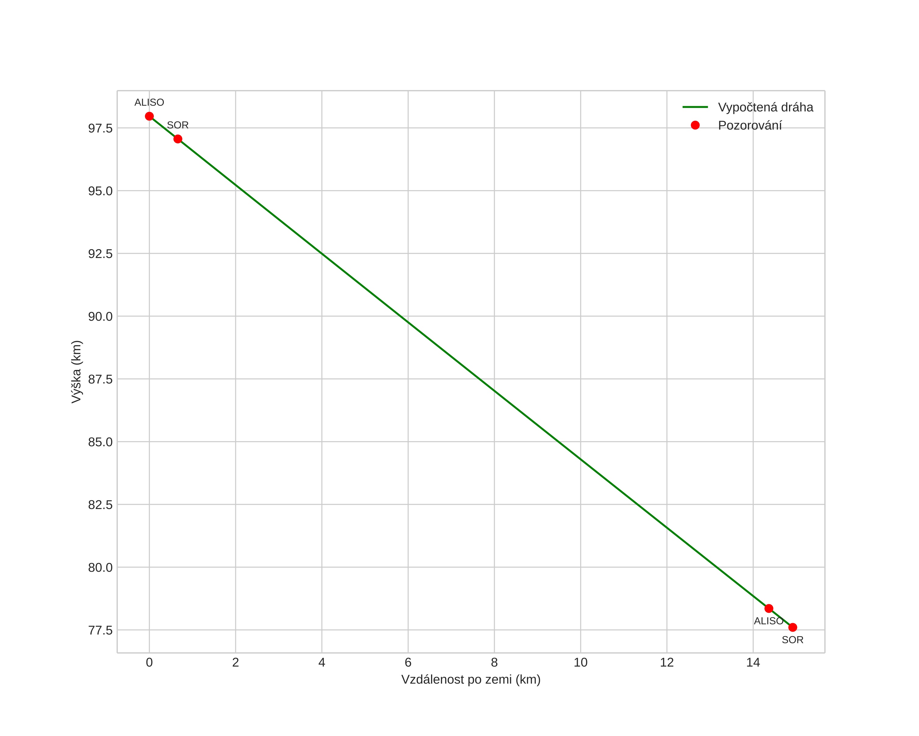
height profile
Atmosférická dráha meteoru:
Počáteční výška: 98,0 km
Konečná výška: 77,6 km
Počáteční poloha: 68,309N 19,684E
Konečná poloha: 68,300N 19,322E
Směr: 266,3°
Sklon: 53,8°
VstupnĂ­ rychlost: 39,4 km/s
Rektascenze radiantu: 18:52 (283,0°)
Deklinace radiantu: 49,3°
MeteorickĂ˝ roj: sporadickĂ˝
Elementy dráhy meteoroidu:
Vzdálenost v periheliu: 0,966 AU
Excentricita: 0,930
Sklon dráhy: 61,0°
Délka vzestupného uzlu: 355,2°
Argument perihelia: 160,2°
Střední anomálie: 0,3°
Epocha: 2018 MAR 16 01:34:12
orbit plot

NeinteraktivnĂ­ graf | InteraktivnĂ­ graf

position vs time
speed and acceleration